电脑桌面
添加小米粒文库到电脑桌面
安装后可以在桌面快捷访问

人教A版高中数学高三一轮平面解析几何81直线的倾斜角与斜率、直线的方程【素材】考向归纳VIP免费

人教A版高中数学高三一轮平面解析几何81直线的倾斜角与斜率、直线的方程【素材】考向归纳_第1页
1/6
人教A版高中数学高三一轮平面解析几何81直线的倾斜角与斜率、直线的方程【素材】考向归纳_第2页
2/6
人教A版高中数学高三一轮平面解析几何81直线的倾斜角与斜率、直线的方程【素材】考向归纳_第3页
3/6
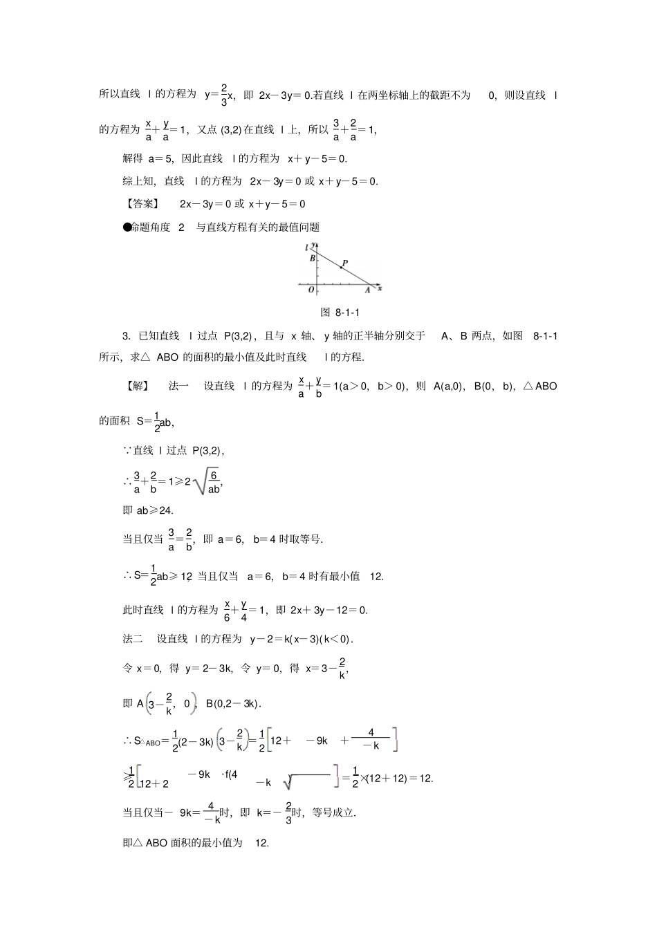
第八章平面解析几何8.1直线的倾斜角与斜率、直线的方程考向归纳考向1直线的倾斜角与斜率1.直线xcosα+3y+2=0的倾斜角的范围是()A.π6,π2∪π2,5π6B.0,π6∪5π6,πC.0,5π6D.π6,5π6【解析】直线的斜率k=-33cosα∈-33,33,设直线的倾斜角为θ,则-33≤tanθ≤33.所以0≤θ≤π6或5π6≤θ<π,故选B.【答案】B2.若直线l与直线y=1,x=7分别交于点P,Q,且线段PQ的中点坐标为(1,-1),则直线l的斜率为()A.13B.-13C.-32D.23【解析】设P(x,1),Q(7,y),则x+72=1,y+12=-1,∴x=-5,y=-3,即P(-5,1),Q(7,-3),故直线l的斜率k=-3-17+5=-13.故选B.【答案】B3.若直线l过点P(-1,2),且与以A(-2,-3),B(3,0)为端点的线段相交,则直线l的斜率的取值范围是________.【解析】如图所示,为使直线l与线段AB相交,则直线l的斜率k满足k≥kPA或k≤kPB,又kPA=-3-2-2--=5.kPB=0-23--=-12,则k∈-∞,-12∪[5,+∞).【答案】-∞,-12∪[5,+∞)1.已知直线方程求直线倾斜角范围的一般步骤(1)求出斜率k的取值范围(若斜率不存在,倾斜角为90°).(2)利用正切函数的单调性,借助图象或单位圆确定倾斜角的取值范围.2.直线的斜率与倾斜角的关系(1)当α∈0,π2且由0增大到π2α≠π2时,k由0增大到+∞.(2)当α∈π2,π时,k也是关于α的单调函数,当α在此区间内由π2α≠π2增大到π(α≠π)时,k由-∞趋近于0(k≠0).考向2直线的方程●命题角度1求直线方程1.直线l过点(-3,4),且在两坐标轴上的截距之和为12,则直线l的方程为________.【解析】由题意知,截距不为0,设直线l的方程为xa+y12-a=1.又直线l过点(-3,4),从而-3a+412-a=1,解得a=-4或a=9,故所求直线方程为4x-y+16=0或x+3y-9=0.【答案】4x-y+16=0或x+3y-9=02.若A(1,-2),B(5,6),直线l经过AB的中点M且在两坐标轴上的截距相等,则直线l的方程为________.【解析】由题意知M(3,2),若直线l在两坐标轴上的截距为0,即直线l过(0,0)及(3,2),所以直线l的方程为y=23x,即2x-3y=0.若直线l在两坐标轴上的截距不为0,则设直线l的方程为xa+ya=1,又点(3,2)在直线l上,所以3a+2a=1,解得a=5,因此直线l的方程为x+y-5=0.综上知,直线l的方程为2x-3y=0或x+y-5=0.【答案】2x-3y=0或x+y-5=0●命题角度2与直线方程有关的最值问题图8-1-13.已知直线l过点P(3,2),且与x轴、y轴的正半轴分别交于A、B两点,如图8-1-1所示,求△ABO的面积的最小值及此时直线l的方程.【解】法一设直线l的方程为xa+yb=1(a>0,b>0),则A(a,0),B(0,b),△ABO的面积S=12ab, 直线l过点P(3,2),∴3a+2b=1≥26ab,即ab≥24.当且仅当3a=2b,即a=6,b=4时取等号.∴S=12ab≥12,当且仅当a=6,b=4时有最小值12.此时直线l的方程为x6+y4=1,即2x+3y-12=0.法二设直线l的方程为y-2=k(x-3)(k<0).令x=0,得y=2-3k,令y=0,得x=3-2k,即A3-2k,0,B(0,2-3k).∴S△ABO=12(2-3k)3-2k=1212+-9k+4-k≥1212+2-9k·f(4-k)=12×(12+12)=12.当且仅当-9k=4-k时,即k=-23时,等号成立.即△ABO面积的最小值为12.故所求直线的方程为2x+3y-12=0.1.求直线方程的方法(1)直接法:根据已知条件选择恰当的直线方程形式,直接求出直线方程.(2)待定系数法:先根据已知条件设出直线方程,再根据已知条件构造关于待定系数的方程(组),求出待定系数,从而求出直线方程.2.解决直线方程问题的注意点(1)应用“点斜式”和“斜截式”方程时,要注意讨论斜率是否存在.(2)应用截距式方程时要注意讨论直线是否过原点,截距是否为0.考向3两条直线平行、垂直的关系(1)若直线l1:ax+2y-6=0与直线l2:x+(a-1)y+a2-1=0平行,则a=________.(2)若直线l3:(a+2)x+(2-a)y=1与直线l4:(a-2)x+(3a-4)y=2互相垂直,则a的值为________.【解析】(1)由l1∥l2得a(a-1)=2,解得a=2或a=-1,经验证当a=2或a=-1时l1∥l2.(2)由l3⊥l4得(a+2)(a-2)+(2-a)(3a-4)=0,解得a=2或3.【答案】(1)2或-1(2)2或3根据两条直线平行...

1、当您付费下载文档后,您只拥有了使用权限,并不意味着购买了版权,文档只能用于自身使用,不得用于其他商业用途(如 [转卖]进行直接盈利或[编辑后售卖]进行间接盈利)。
2、本站所有内容均由合作方或网友上传,本站不对文档的完整性、权威性及其观点立场正确性做任何保证或承诺!文档内容仅供研究参考,付费前请自行鉴别。
3、如文档内容存在违规,或者侵犯商业秘密、侵犯著作权等,请点击“违规举报”。

碎片内容

人教A版高中数学高三一轮平面解析几何81直线的倾斜角与斜率、直线的方程【素材】考向归纳

确认删除?
VIP
微信客服
  • 扫码咨询
会员Q群
  • 会员专属群点击这里加入QQ群
客服邮箱
回到顶部