电脑桌面
添加小米粒文库到电脑桌面
安装后可以在桌面快捷访问

七年级上册解一元一次方程(去分母)VIP免费

七年级上册解一元一次方程(去分母)_第1页
1/4
七年级上册解一元一次方程(去分母)_第2页
2/4
七年级上册解一元一次方程(去分母)_第3页
3/4
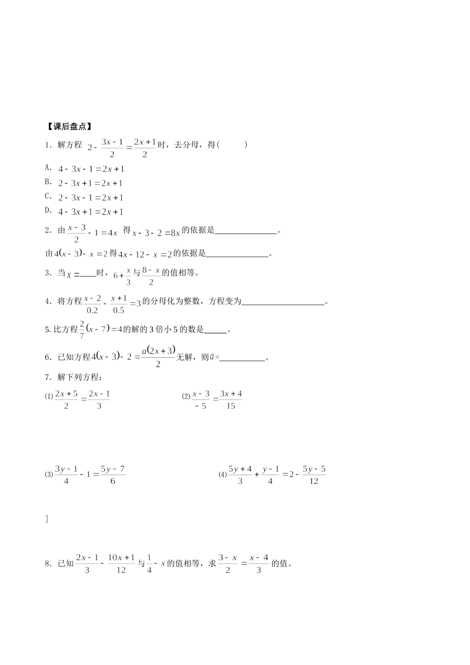
3.3解一元一次方程(去分母)【目标导航】1.掌握有分母的一元一次方程的解法;2.通过列方程解决实际问题,感受到数学的应用价值;3.培养分析问题、解决问题的能力.【要点梳理】知识点:有分母的一元一次方程的解法引例:解方程解:注:1.根据,先去掉等式两边的分母,然后再去括号、移项、合并、系数化为12.本题用的思想,将有分母的方程转化为已学的无分母的方程。例1解方程注:①所选的乘数是所有的分母的最小公倍数;②用这个最小公倍数去乘方程两边时,不要③练习1:解下列方程注:①小结解一元一次方程的步骤;②解一元一次方程每步的依据。例2解方程注:⑴先用分数的基本性质把分母的小数转化为整数,同时变化的是一个分数的分子、分母,其它项不发生变化。⑵去分母是用的等式性质2,等号两边的每一项都乘以所有分母的最小公倍数。练习2:解下列方程(1)(2)【课堂操练】解方程:⑴⑵⑶⑷⑸⑹【课后盘点】1.解方程时,去分母,得()A.B.C.D.2.由得的依据是。由得的依据是。3.当时,与的值相等。4.将方程的分母化为整数,方程变为。5.比方程的解的3倍小5的数是。6.已知方程无解,则=。7.解下列方程:⑴⑵⑶⑷]8.已知与的值相等,求的值。9.解下列方程⑴⑵⑶⑷10.当等于什么数时,的值与的值互为相反数。【课外拓展】1.关于的方程的解是,对于同样的,求另一个关于的方程的解。2.李明同学在解方程去分母时,方程右边的-1没有乘3,因而求得方程的解为,试求的值,并正确地解方程。3.已知关于的方程有整数解,求整数的值。

1、当您付费下载文档后,您只拥有了使用权限,并不意味着购买了版权,文档只能用于自身使用,不得用于其他商业用途(如 [转卖]进行直接盈利或[编辑后售卖]进行间接盈利)。
2、本站所有内容均由合作方或网友上传,本站不对文档的完整性、权威性及其观点立场正确性做任何保证或承诺!文档内容仅供研究参考,付费前请自行鉴别。
3、如文档内容存在违规,或者侵犯商业秘密、侵犯著作权等,请点击“违规举报”。

碎片内容

七年级上册解一元一次方程(去分母)

您可能关注的文档

精华资料店+ 关注
实名认证
内容提供者

大量教育教学资料

确认删除?
VIP
微信客服
  • 扫码咨询
会员Q群
  • 会员专属群点击这里加入QQ群
客服邮箱
回到顶部