电脑桌面
添加小米粒文库到电脑桌面
安装后可以在桌面快捷访问

圆锥曲线定点定值技巧方法VIP免费

圆锥曲线定点定值技巧方法_第1页
1/14
圆锥曲线定点定值技巧方法_第2页
2/14
圆锥曲线定点定值技巧方法_第3页
3/14
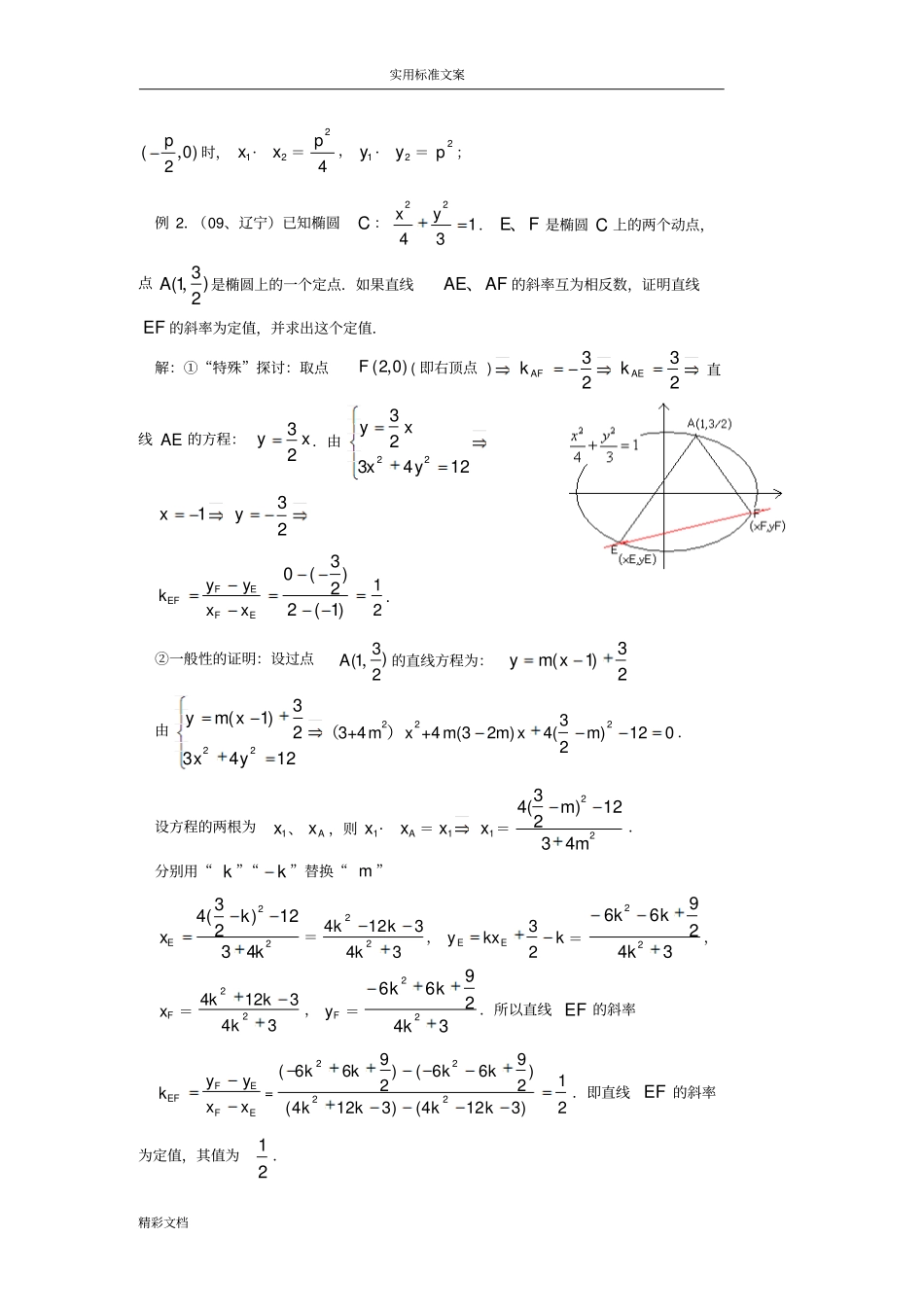
实用标准文案精彩文档高考圆锥曲线定点定值技巧一、定点、定值、定形问题中的两种常用方法1.“特殊”探求例1.已知直线过点)0)(0(mmM,且与抛物线)0(22ppxy交于)(11yxA,、)(22yxB,两点,求证:1x·2x,1y·2y均为定值,并求这个定值.解:①特殊位置的探讨:如图1,当过点)0)(0(mmM,的直线与x垂直时,1x·2x=2m,1y·2y=pm2;②一般性的证明:如图2,当过点)0)(0(mmM,的直线与x垂直时,设过点)0)(0(mmM,的直线方程为:mtyx【“基本特征式”的运算】.由pxymtyx220222pmptyy1y·2y=pm21x·2x=2m.小结:①定点、定值、定形问题的求解,先“特殊”探求,再证明一般的情况;②“特殊”是指:特殊点、特殊位置、特殊直线、极端位置(空间图形的平面轨迹)、极限位置、特殊值、特殊图形(如:三棱锥→正四面体)、初始值(如数列问题,首先用1a、2a、3a求出满足条件的参数,再证明一般的情况);③华罗庚教授反复强调:“退,退,退到原始状态,退到最简单的位置”,即“特殊”探路;④直线与x轴垂直,是很“容易遗忘”的失分参数.有了“特殊”探路的解题意识,相反能提高警惕,提高得分能力;⑤相关结论:当直线过焦点时,1x·2x=42p,1y·2y=2p;当直线过点实用标准文案精彩文档)02(,p时,1x·2x=42p,1y·2y=2p;例2.(09、辽宁)已知椭圆C:22143xy.FE、是椭圆C上的两个动点,点)231(,A是椭圆上的一个定点.如果直线AFAE、的斜率互为相反数,证明直线EF的斜率为定值,并求出这个定值.解:①“特殊”探讨:取点)02(,F(即右顶点)2323AEAFkk直线AE的方程:xy23.由12432322yxxy231yxFEEFFEyykxx)1(2)23(021.②一般性的证明:设过点)231(,A的直线方程为:23)1(xmy由124323)1(22yxxmy22233+4+4(32)4()1202mxmmxm().设方程的两根为1x、Ax,则1x·Ax=1x1x=2234()12234mm.分别用“k”“k”替换“m”2234()12234Ekxk=34312422kkk,32EEykxk=34296622kkk,Fx=34312422kkk,Fy=34296622kkk.所以直线EF的斜率FEEFFEyykxx=21)3124()3124()2966()2966(2222kkkkkkkk.即直线EF的斜率为定值,其值为12.实用标准文案精彩文档小结:①取特殊点,求出定值,后续运算仅仅是一个填空程序;②上述解题过程,运用了“对偶运算”,减少运算、减轻思维负担.2.“与参数k无关”例3.已知直线L与抛物线)0(22ppxy交于)(11yxA,、)(22yxB,两点,且1x·2x=42p.求证:直线L经过定点,并求出这个定点的坐标.解:①直线xL轴,设其方程为mx)0(m)0()0(,,,mBmA1x·2x=2m.又1x·2x=42p2m=42p由0m2pm直线L过定点)02(,p.②当直线L不垂直于x轴时,设其方程为mkxy,由pxymkxy220)22(222mxpkmxk2221kmxx,又1x·2x=42p42p=22km2422kpmmkm直线L:mkxy)2(pxky.当2px时,0y,“与参数k无关”直线L过定点)02(,p,或定点)02(,p.小结:①“与参数k无关”,是初一年级关于方程“bax”解状讨论的直接应用:Rxba0;②“与参数k无关”,体现为“零”多项式理论,或“零次”多项式理论.例4.例10.(07、湖南理21)已知双曲线222xy的左、右焦点分别为1F,2F,过点2F的动直线与双曲线相交于AB,两点.【直接法求轨迹】(1)若动点M满足1111FMFAFBFO(其中O为坐标原点),求点M的轨迹方程;(2)在x轴上是否存在定点C,使CA·CB为常数?若存在,求出点C的坐标;若不存在,请说明理由.解:(1)由条件知1(20)F,,2(20)F,,设11()Axy,,22()Bxy,.设()Mxy,.第一歩:“基本特征式”:设11()Axy,,22()Bxy,,直线AB:2tyx.实用标准文案精彩文档由2222yxtyx024)1(22tyyt14012212ttyyt14221txx⋯⋯⋯⋯(*1);第二歩:“向量特征式”:1(2)FMxy,,111(2)FAxy,,1(20)FO,,122(2)FBxy,,由1111FMFAFBFO121226xxxyyyyyyxxx21214⋯⋯(*2)第三歩:代入(整体):由(*1)与(*2))2(14)1(14422ttytx;第四歩:消参:(1)÷(2)4xyt,代入(1):22(6)4xy.所以点M的轨迹方程是22(6)4xy.【(2)在x轴上是否存在定点C,使CA·CB为常数?若存在,求出点C的坐标;若不存在,请说明理由】解:假设在x轴上存在定点(0)Cm,,使CA·CB为常数.第一歩:先特殊探讨.当AB与x轴垂直时,点AB,的坐标为(2...

1、当您付费下载文档后,您只拥有了使用权限,并不意味着购买了版权,文档只能用于自身使用,不得用于其他商业用途(如 [转卖]进行直接盈利或[编辑后售卖]进行间接盈利)。
2、本站所有内容均由合作方或网友上传,本站不对文档的完整性、权威性及其观点立场正确性做任何保证或承诺!文档内容仅供研究参考,付费前请自行鉴别。
3、如文档内容存在违规,或者侵犯商业秘密、侵犯著作权等,请点击“违规举报”。

碎片内容

圆锥曲线定点定值技巧方法

爱的疯狂+ 关注
实名认证
内容提供者

该用户很懒,什么也没介绍

相关文档

确认删除?
VIP
微信客服
  • 扫码咨询
会员Q群
  • 会员专属群点击这里加入QQ群
客服邮箱
回到顶部