电脑桌面
添加小米粒文库到电脑桌面
安装后可以在桌面快捷访问

高考数学复习点拨 简解抛物线问题的三种途径VIP免费

高考数学复习点拨 简解抛物线问题的三种途径_第1页
1/1
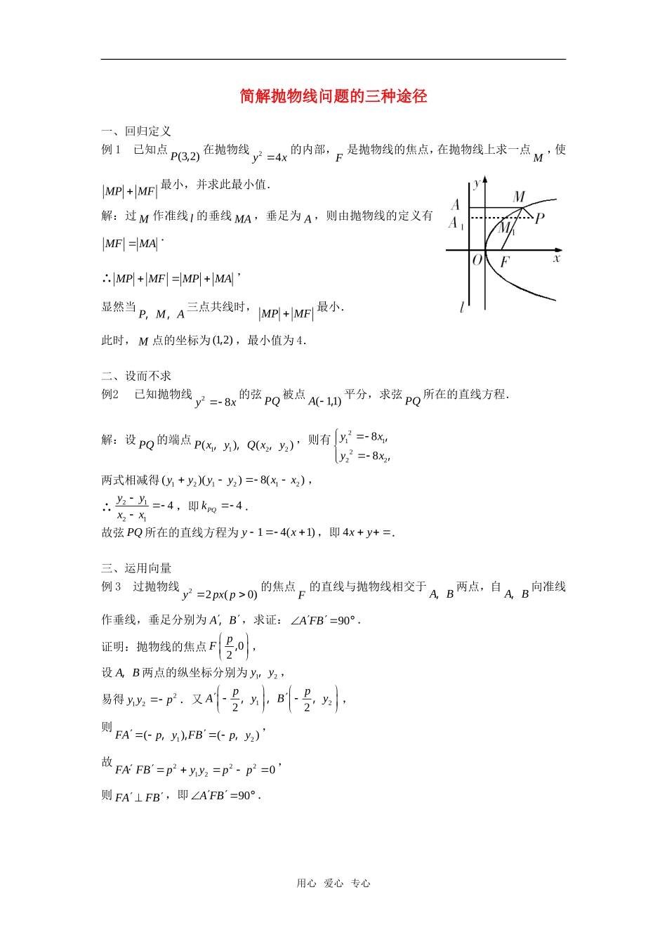
简解抛物线问题的三种途径一、回归定义例1已知点(32)P,在抛物线24yx的内部,F是抛物线的焦点,在抛物线上求一点M,使MPMF最小,并求此最小值.解:过M作准线l的垂线MA,垂足为A,则由抛物线的定义有MFMA.MPMFMPMA∴,显然当PMA,,三点共线时,MPMF最小.此时,M点的坐标为(12),,最小值为4.二、设而不求例2已知抛物线28yx的弦PQ被点(11)A,平分,求弦PQ所在的直线方程.解:设PQ的端点1122()()PxyQxy,,,,则有21122288yxyx,,两式相减得121212()()8()yyyyxx,∴21214yyxx,即4PQk.故弦PQ所在的直线方程为14(1)yx,即4xy.三、运用向量例3过抛物线22(0)ypxp的焦点F的直线与抛物线相交于AB,两点,自AB,向准线作垂线,垂足分别为AB,,求证:90AFB°.证明:抛物线的焦点02pF,,设AB,两点的纵坐标分别为12yy,,易得212yyp.又1222ppAyBy,,,,则12()()FApyFBpy�,,,,故222120FAFBpyypp�·,则FAFB�,即90AFB°.用心爱心专心

1、当您付费下载文档后,您只拥有了使用权限,并不意味着购买了版权,文档只能用于自身使用,不得用于其他商业用途(如 [转卖]进行直接盈利或[编辑后售卖]进行间接盈利)。
2、本站所有内容均由合作方或网友上传,本站不对文档的完整性、权威性及其观点立场正确性做任何保证或承诺!文档内容仅供研究参考,付费前请自行鉴别。
3、如文档内容存在违规,或者侵犯商业秘密、侵犯著作权等,请点击“违规举报”。

碎片内容

高考数学复习点拨 简解抛物线问题的三种途径

您可能关注的文档

海博书城+ 关注
实名认证
内容提供者

从事历史教学,热爱教育,高度负责。

相关文档

确认删除?
VIP
微信客服
  • 扫码咨询
会员Q群
  • 会员专属群点击这里加入QQ群
客服邮箱
回到顶部