电脑桌面
添加小米粒文库到电脑桌面
安装后可以在桌面快捷访问

1208二次根式的加减(2)VIP免费

1208二次根式的加减(2)_第1页
1/2
1208二次根式的加减(2)_第2页
2/2
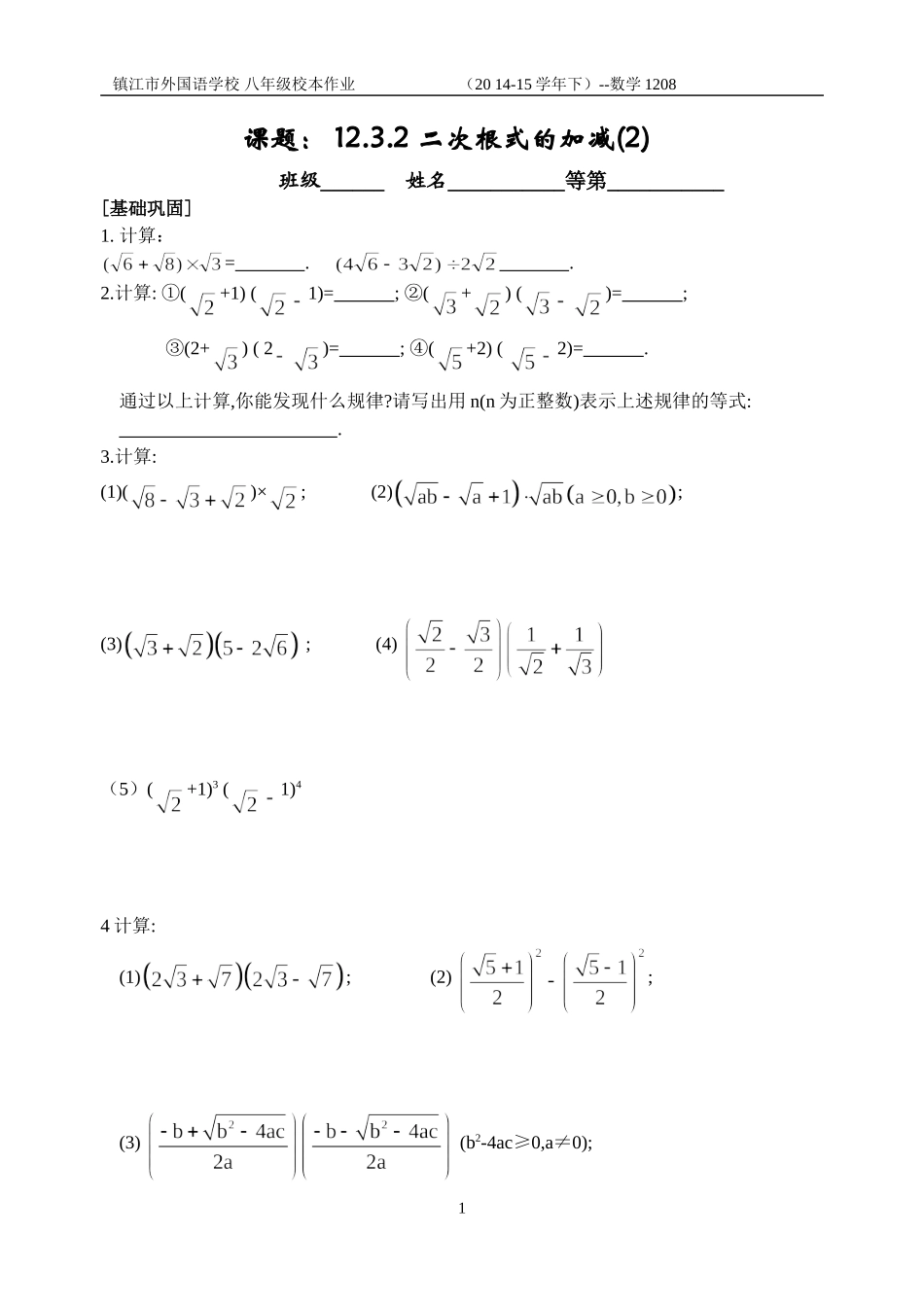
镇江市外国语学校八年级校本作业(2014-15学年下)--数学1208课题:12.3.2二次根式的加减(2)班级______姓名___________等第___________[基础巩固]1.计算:=..2.计算:①(+1)(1)=;②(+)()=;③(2+)(2)=;④(+2)(2)=.通过以上计算,你能发现什么规律?请写出用n(n为正整数)表示上述规律的等式:.3.计算:(1)()×;(2);(3);(4)(5)(+1)3(1)44计算:(1);(2);(3)(b2-4ac≥0,a≠0);1镇江市外国语学校八年级校本作业(2014-15学年下)--数学1208(4)22[拓展延伸]5.已知x=1,求x2+2x4的值.6.已知:,,则的值[预习作业]7.已知最简根式和最简根式是同类根式,求2

1、当您付费下载文档后,您只拥有了使用权限,并不意味着购买了版权,文档只能用于自身使用,不得用于其他商业用途(如 [转卖]进行直接盈利或[编辑后售卖]进行间接盈利)。
2、本站所有内容均由合作方或网友上传,本站不对文档的完整性、权威性及其观点立场正确性做任何保证或承诺!文档内容仅供研究参考,付费前请自行鉴别。
3、如文档内容存在违规,或者侵犯商业秘密、侵犯著作权等,请点击“违规举报”。

碎片内容

1208二次根式的加减(2)

您可能关注的文档

精品文库+ 关注
实名认证
内容提供者

超级好的教育资料

相关文档

确认删除?
VIP
微信客服
  • 扫码咨询
会员Q群
  • 会员专属群点击这里加入QQ群
客服邮箱
回到顶部