电脑桌面
添加小米粒文库到电脑桌面
安装后可以在桌面快捷访问

四川省2012年高考数学-解答题定时训练(13)VIP免费

四川省2012年高考数学-解答题定时训练(13)_第1页
1/5
四川省2012年高考数学-解答题定时训练(13)_第2页
2/5
四川省2012年高考数学-解答题定时训练(13)_第3页
3/5
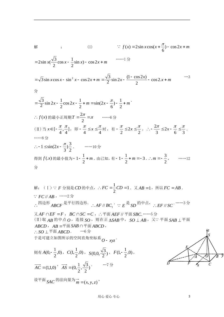
解答题训练(十三)1、已知函数mxxxxf2cos)6cos(sin2)(.(I)求函数)(xf的最小正周期;(Ⅱ)当]4,4[x时,函数)(xf的最小值为3,求实数m的值.2、如图,边长为1的正三角形SAB所在平面与直角梯形ABCD所在平面垂直,且CDAB//,ABBC,1BC,2CD,E、F分别是线段SD、CD的中点.(I)求证:平面//AEF平面SBC;(Ⅱ)求二面角FACS的大小.用心爱心专心13、某电视台拟举行“团队共享”冲关比赛,其规则如下:比赛共设有“常识关”和“创新关”两关,每个团队共两人,每人各冲一关,“常识关”中有2道不同必答题,“创新关”中有3道不同必答题;如果“常识关”中的2道题都答对,则冲“常识关”成功且该团队获得单项奖励900元,否则无奖励;如果“创新关”中的3道题至少有2道题答对,则冲“创新关”成功且该团队获得单项奖励1800元,否则无奖励.现某团队中甲冲击“常识关”,乙冲击“创新关”,已知甲回答“常识关”中每道题正确的概率都为32,乙回答“创新关”中每道题正确的概率都为21,且两关之间互不影响,每道题回答正确与否相互独立.(I)求此冲关团队在这5道必答题中只有2道回答正确且没有获得任何奖励的概率;(Ⅱ)记此冲关团队获得的奖励总金额为随机变量,求的分布列和数学期望E.4、已知函数axaxgxxf(.23)(,ln)(为实常数).(I)当1a时,求函数)()()(xgxfx在),4[x上的最小值;(Ⅱ)若方程)()(2xgexf(其中71828.2e)在区间]1,21[上有解,求实数a的取值范围;用心爱心专心2解:(I)mxxxxf2cos)6cos(sin2)(mxxxx2cos)sin21cos23(sin2……1分mxxxx2cossincossin32mxxx.2cos2)2cos1(2sin23…3分mxmxx21)62sin(212cos212sin23.)(xf的最小正周期22T……6分(Ⅱ)当]4,4[x,即44x时,有222x,36232x.……8分23)32sin(1x.……10分得到)(.xf的最小值为m211.由已知,有3211m.23m,……12分解:(Ⅰ)F分别是CD的中点,121CDFC.又1AB,所以ABFC.ABFC//,……2分四边形ABCF是平行四边形.1//BCAF.E是SD的中点,SCEF//.……3分又FEFAF,CSCBC,平面//AEF平面.SBC……5分(Ⅱ)取AB的中点O,连接SO,则在正SAB中,ABSO,又平面SAB平面ABCD,AB平面SAB平面ABCD,SO平面ABCD.…6分于是可建立如图所示的空间直角坐标系xyzO.则有)0,21,0(A,)0,21,1(C,)23,0,0(S,)0,21,1(F,)0,1,1(AC,)23,21,0(AS.…7分设平面SAC的法向量为),,(zyxm,用心爱心专心3由02321000zyyxmASmAC.取31,1,1zyx,得)311,1(,m.……9分平面FAC的法向量为)1,0,0(n.…10分77311131||||,cosnmnmnm…11分而二面角FACS的大小为钝角,二面角FACS的大小为77cosarc.…12分解:(I)记“此冲关团队在这5道必答题中只有2道回答正确且没有获得任何奖励”为事件E,事件E发生即“常识关”和“创新关”两关中都恰有一道题答正确.61)21(213132)(21312CCEP.……6分(Ⅱ)随机变量取值为:0、900、1800、2700.185])21(21)21][()32(1[)0(21332CP;…..7分92])21(21)21[()32()900(21332CP;…8分185]21)21()21][(3231)31[()1800(2233122CCP;……9分92]21)21()21[()32()2700(22332CP.…10分的分布13009227001851800929001850F.12分用心爱心专心090018002700P1851892185924解:(Ⅰ)当1a时,231ln)()()(xxxgxfx,221.11)('xxxxx,令0)('x,又0x,)(x在]1,0(x上单调递减,在),1[x上单调递增.当4x时,454ln23414ln)4()(x.)(x的最小值为454ln.….4分(Ⅱ))()(2xgef在]1,21[x上有解xaex23ln2在]1,21[x上有解323xxa在]1,21[x上有解.令]1,21[,23)(3xxxxh,)21(3323)(.'22xxxh,令0)('xh,又0x,解得:220x.323)(xxxh在]22,21[x上单调递增,]1,22[x上单调递减,又)21()1(hh.)22()()1(hxhh.即22)(21xh.故]22,21[a.……9分用心爱心专心5

1、当您付费下载文档后,您只拥有了使用权限,并不意味着购买了版权,文档只能用于自身使用,不得用于其他商业用途(如 [转卖]进行直接盈利或[编辑后售卖]进行间接盈利)。
2、本站所有内容均由合作方或网友上传,本站不对文档的完整性、权威性及其观点立场正确性做任何保证或承诺!文档内容仅供研究参考,付费前请自行鉴别。
3、如文档内容存在违规,或者侵犯商业秘密、侵犯著作权等,请点击“违规举报”。

碎片内容

四川省2012年高考数学-解答题定时训练(13)

您可能关注的文档

教育精品店+ 关注
实名认证
内容提供者

优良的服务

确认删除?
VIP
微信客服
  • 扫码咨询
会员Q群
  • 会员专属群点击这里加入QQ群
客服邮箱
回到顶部