电脑桌面
添加小米粒文库到电脑桌面
安装后可以在桌面快捷访问

高一数学过关训练共四张VIP专享VIP免费

高一数学过关训练共四张_第1页
1/9
高一数学过关训练共四张_第2页
2/9
高一数学过关训练共四张_第3页
3/9
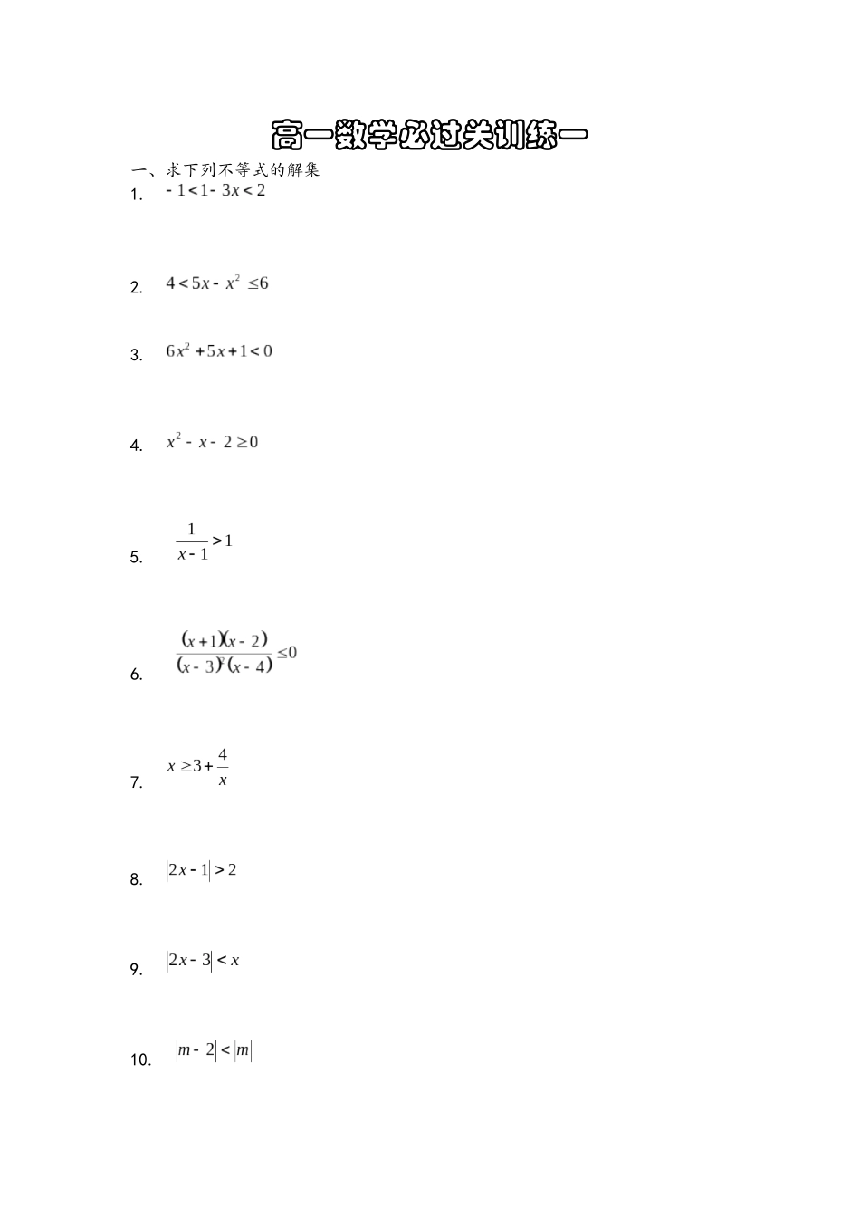
高一数学必过关训练一一、求下列不等式的解集1.2.3.4.5.6.7.8.9.10.二、求下列关于的不等式的解集11.12.13.已知的解集为,求的解集三、求实数的范围14.定义域为,求实数的范围15.定义域为,求实数的范围高一数学必过关训练二1.已知,求,求,求,求2.已知求,求,求3.已知,⫋,求4.,,求的值或满足的关系5.求⫋且,求,求6.,,,高一数学必过关训练三一、求下列函数定义域1.2.3.二、求下列函数定义域4.已知定义域是,则的定义域5.已知定义域是,则的定义域6.已知定义域是,则的定义域7.已知定义域是,则的定义域三、求函数解析式8.反比例函数满足,求9.一次函数满足,求10.,求11.,求12.,求,13.求14.为奇函数,为偶函数,,求,15.是定义域为的奇函数,当时,,求解析式16.=,,求高一数学必过关训练四1.在上最大值与最小值的差为2,求2.,,求3.,求4.,当时,求的最小值5.对恒成立,求6.对恒成立,求7.对恒成立,求8.二次函数满足且,若对恒成立,求9.对恒成立,求10.对恒成立,求

1、当您付费下载文档后,您只拥有了使用权限,并不意味着购买了版权,文档只能用于自身使用,不得用于其他商业用途(如 [转卖]进行直接盈利或[编辑后售卖]进行间接盈利)。
2、本站所有内容均由合作方或网友上传,本站不对文档的完整性、权威性及其观点立场正确性做任何保证或承诺!文档内容仅供研究参考,付费前请自行鉴别。
3、如文档内容存在违规,或者侵犯商业秘密、侵犯著作权等,请点击“违规举报”。

碎片内容

高一数学过关训练共四张

您可能关注的文档

确认删除?
VIP
微信客服
  • 扫码咨询
会员Q群
  • 会员专属群点击这里加入QQ群
客服邮箱
回到顶部