电脑桌面
添加小米粒文库到电脑桌面
安装后可以在桌面快捷访问

高中数学复数复数乘、除运算的三角表示及其几何意义新人教A版必修第二册VIP免费

高中数学复数复数乘、除运算的三角表示及其几何意义新人教A版必修第二册_第1页
1/7
高中数学复数复数乘、除运算的三角表示及其几何意义新人教A版必修第二册_第2页
2/7
高中数学复数复数乘、除运算的三角表示及其几何意义新人教A版必修第二册_第3页
3/7
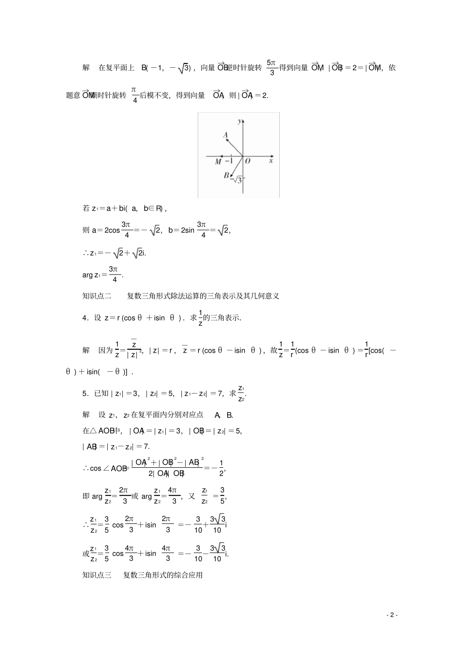
-1-课时作业21复数乘、除运算的三角表示及其几何意义知识点一复数三角形式乘法运算的三角表示及其几何意义1.在复平面内,把复数3-3i对应的向量按顺时针方向旋转π3,所得向量对应的复数是()A.23B.-23iC.3-3iD.3+3i答案B解析 由题意知复数3-3i对应的向量按顺时针方向旋转π3,∴旋转后的向量为(3-3i)cos-π3+isin-π3=(3-3i)12-3i2=-23i.故选B.2.已知z1=2cosπ12+isinπ12,z2=cos5π12+isin5π12,求z1z2,请把结果化为代数形式,并作出几何解释.解z1z2=2cosπ12+isinπ12cos5π12+isin5π12=2cosπ12+5π12+2isinπ12+5π12=2cosπ2+2isinπ2=0+2i×1=2i.首先作与z1,z2对应的向量OZ1→,OZ2→,然后把向量OZ1→绕点O按逆时针方向旋转5π12,再保持某长度不变,这样得到一个长度为2,辐角为π2的向量OZ→,OZ→即为积z1z2=2i所对应的向量.3.把复数z1与z2所对应的向量OA→,OB→分别按逆时针方向旋转π4和5π3后,重合于向量OM→,且模相等.已知z2=-1-3i,求复数z1的代数式和它的辐角主值.-2-解在复平面上B(-1,-3),向量OB→逆时针旋转5π3得到向量OM→,|OB→|=2=|OM→|,依题意OM→顺时针旋转π4后模不变,得到向量OA→,则|OA→|=2.若z1=a+bi(a,b∈R),则a=2cos3π4=-2,b=2sin3π4=2,∴z1=-2+2i.argz1=3π4.知识点二复数三角形式除法运算的三角表示及其几何意义4.设z=r(cosθ+isinθ).求1z的三角表示.解因为1z=z-|z|2,|z|=r,z-=r(cosθ-isinθ),故1z=1r(cosθ-isinθ)=1r[cos(-θ)+isin(-θ)].5.已知|z1|=3,|z2|=5,|z1-z2|=7,求z1z2.解设z1,z2在复平面内分别对应点A,B.在△AOB中,|OA|=|z1|=3,|OB|=|z2|=5,|AB|=|z1-z2|=7.∴cos∠AOB=|OA|2+|OB|2-|AB|22|OA||OB|=-12,即argz1z2=2π3或argz1z2=4π3,又z1z2=35,∴z1z2=35cos2π3+isin2π3=-310+3310i或z1z2=35cos4π3+isin4π3=-310-3310i.知识点三复数三角形式的综合应用-3-6.已知复数z=32-12i,ω=22+22i,复数zω,z2ω3在复平面上所对应的点分别为P,Q,证明:△OPQ是等腰直角三角形(其中O为原点).证明 z=32-12i=cos-π6+isin-π6∴z3=-i.又ω=22+22i=cosπ4+isinπ4,∴ω4=-1.从而z2ω3zω=z2ω3zω·zωzω=z3ω4|z|2·|ω|2=i.故|OP||OQ|=1,即|OP|=|OQ|且OP→与OQ→的夹角为π2.∴△OPQ是等腰直角三角形.7.设复数z1=cosθ+isinθ0≤θ<π,θ≠π2,z2=z1i+1,z1,z2分别对应复平面上的点A,B,O为坐标原点,∠AOB=α(0≤α<π).求角α的大小.解 z1=cosθ+isinθ,z2=z1i+1=1-sinθ+icosθ,∴kOA=sinθcosθ=tanθ,kOB=cosθ1-sinθ,∴tanα=kOB-kOA1+kOB·kOA=cosθ1-sinθ-tanθ1+cosθ1-sinθ·tanθ=1-sinθcosθ=1-cosπ2-θsinπ2-θ=tanπ4-θ2,①当0≤θ<π2时,0<π4-θ2≤π4,∴α=π4-θ2.②当π2<θ<π时,-π4<π4-θ2<0, 0≤α<π,∴α=π4-θ2+π=5π4-θ2.-4-一、选择题1.把复数1+i对应的向量按顺时针方向旋转2π3所得到的向量对应的复数是()A.1-32+1+32iB.-1+32+-1-32iC.-1+32+1-32iD.1-32+-1+32i答案B解析复数1+i对应的向量按顺时针方向旋转2π3所得到的向量为(1+i)cos-2π3+isin-2π3=(1+i)·-12-32i=-1+32+-1-32i,故选B.2.计算3(cos15°+isin15°)·2(cos75°+isin75°)=()A.3iB.3i+2C.6iD.6i+3答案C解析3(cos15°+isin15°)·2(cos75°+isin75°)=6(cos90°+isin90°)=6i.3.设模为2,辐角为π6的复数z是z3+a=0的根,那么a是()A.2iB.-2iC.8iD.-8i答案D解析由题意,得z=2cosπ6+isinπ6,则有a=-z3=-23cosπ2+isinπ2=-8i.4.计算4(cos160°+isin160°)÷[2(cos10°+isin10°)]=()A.3+iB.-3+iC.2+iD.-2+i答案B解析4(cos160°+isin160°)÷[2(cos10°+isin10°)]=2(cos150°+isin150°)=2-32+12i=-3+i.5.化简:cos2θ+isin2θcos3θ+isin3θcos5θ-isin5θ=()-5-A....

1、当您付费下载文档后,您只拥有了使用权限,并不意味着购买了版权,文档只能用于自身使用,不得用于其他商业用途(如 [转卖]进行直接盈利或[编辑后售卖]进行间接盈利)。
2、本站所有内容均由合作方或网友上传,本站不对文档的完整性、权威性及其观点立场正确性做任何保证或承诺!文档内容仅供研究参考,付费前请自行鉴别。
3、如文档内容存在违规,或者侵犯商业秘密、侵犯著作权等,请点击“违规举报”。

碎片内容

高中数学复数复数乘、除运算的三角表示及其几何意义新人教A版必修第二册

文库响当当+ 关注
实名认证
内容提供者

该用户很懒,什么也没介绍

确认删除?
VIP
微信客服
  • 扫码咨询
会员Q群
  • 会员专属群点击这里加入QQ群
客服邮箱
回到顶部