电脑桌面
添加小米粒文库到电脑桌面
安装后可以在桌面快捷访问

俩角和与差的正弦组合VIP免费

俩角和与差的正弦组合_第1页
1/7
俩角和与差的正弦组合_第2页
2/7
俩角和与差的正弦组合_第3页
3/7
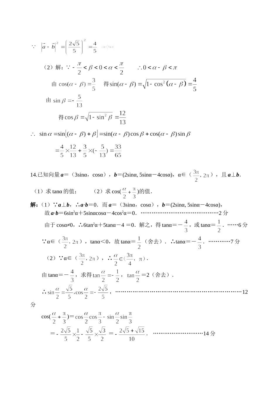
两角和与差的正弦习题课1、已知,,则2、函数sin(2)cos(2)63yxx的最小正周期和最大值分别为3、=4、求值5、已知求6、已知,且则=7、已知cos(-)=-,∈(0,),则cos(+)-sin的值是____8.已知函数,的图像与直线的两个相邻交点的距离等于,则的单调递增区间是9.给出下列命题:①存在实数x,使sinx+cosx=3;;②若是第一象限角,且,则;③函数是奇函数;④函数的最小正周期是;⑤函数y=sin2x的图象向右平移4个单位,得到y=sin(2x+4)的图象.⑥函数在上是减函数.其中正确的命题的序号是10.关于函数,有下列命题:。(1)的最大值为;(2)是以为最小正周期的周期函数;(3)在区间上单调递减;(4)将函数的图像向左平移个单位后,与已知函数的图像重合;其中正确的命题的序号是(1)(2)(3)。(注:把你认为正确的命题的序号都填上)11、已知向量①;②求函数的最小值③若.12.已知1cos7,13cos()14,且π02.(Ⅰ)求的值;(Ⅱ)求.解:(Ⅰ)由1cos7,π02,得22143sin1cos1()77.∴sin437tan43cos71.于是222tan24383tan21tan471(43).(Ⅱ)由π02,得02.又 13cos()14,∴221333sin()1cos()1()1414.由(),得coscos[()]coscos()sinsin()113433317147142∴π3.13.已知向量a=(cosα,sinα),b=(cosβ,sinβ),|a-b|=.(1)求cos(α-β)的值;(2)若-<β<0<α<,且sinβ=-,求sinα的值.解:(1),(2)解:由得由得14.已知向量a=(3sinα,cosα),b=(2sinα,5sinα-4cosα),α∈(),且a⊥b.(1)求tanα的值;(2)求cos()的值.解:(1) a⊥b,∴a·b=0.而a=(3sinα,cosα),b=(2sinα,5sinα-4cosα),故a·b=6sin2α+5sinαcosα-4cos2α=0.……………………………………2分由于cosα≠0,∴6tan2α+5tanα-4=0.解之,得tanα=-,或tanα=.……6分 α∈(),tanα<0,故tanα=(舍去).∴tanα=-.…………7分(2) α∈(),∴.由tanα=-,求得,=2(舍去).∴,…………………………………………………………12分cos()===.………………………14分15.已知函数.(1)求的最小正周期;(2)求在区间上的最大值和最小值。解:(1),函数的最小正周期为;(2),当即时,函数取得最大值2;当即时,函数取得最小值;16、广东理.17.(本小题共l2分)已知函数,xR.(Ⅰ)求的最小正周期和最小值;(Ⅱ)已知,,,求证:.本小题考查三角函数的性质,同角三角函数的关系,两角和的正、余弦公式、诱导公式等基础知识和基本运算能力,函数与方程、化归与转化等数学思想.(Ⅰ)解析:,∴的最小正周期,最小值.(Ⅱ)证明:由已知得,两式相加得, ,∴,则.∴.18、设函数.[来源:学科网](Ⅰ)求的最小正周期;(Ⅱ)若函数的图象按,平移后得到函数的图象,求在,上的最大值.解:(Ⅰ),所以函数的最小正周期为;(Ⅱ)由,为增函数,所以在上的最大值为。19、设函数f()=sin+cos,其中,角的顶点与坐标原点重合,始边与x轴非负半轴重合,终边经过点P(x,y),且0≤≤。(Ⅰ)若P的坐标是(,),求f()的值;巩固练习1、函数的最小值等于2、给出下列命题:①存在实数,使;②若是第一象限角,且,则;③函数是偶函数;④函数的图象向左平移个单位,得到函数的图象.其中正确命题的序号是____________.(把正确命题的序号都填上)3、函数在区间上的最小值为.4、(2011·重庆高考)已知sinα=+cosα,且α∈(0,),则的值为________5、设向量a与的夹角为,=(2,1),3+a=(5,4),则=6、已知△ABC中,向量且,则△ABC为三角形7、已知向量(O为坐标原点),,则向量的夹角范围为8、设M是m、n、p分别是的最小值是9、已知向量求向量=10.已知函数的定义域为,[(1)当时,求来源的:Zxxk.Com]2007单调区间;(2)若,且,当为何值时,为偶函数.11、已知向量a=(cos...

1、当您付费下载文档后,您只拥有了使用权限,并不意味着购买了版权,文档只能用于自身使用,不得用于其他商业用途(如 [转卖]进行直接盈利或[编辑后售卖]进行间接盈利)。
2、本站所有内容均由合作方或网友上传,本站不对文档的完整性、权威性及其观点立场正确性做任何保证或承诺!文档内容仅供研究参考,付费前请自行鉴别。
3、如文档内容存在违规,或者侵犯商业秘密、侵犯著作权等,请点击“违规举报”。

碎片内容

俩角和与差的正弦组合

您可能关注的文档

确认删除?
VIP
微信客服
  • 扫码咨询
会员Q群
  • 会员专属群点击这里加入QQ群
客服邮箱
回到顶部