电脑桌面
添加小米粒文库到电脑桌面
安装后可以在桌面快捷访问

二次根式的小结与复习VIP免费

二次根式的小结与复习_第1页
1/40
二次根式的小结与复习_第2页
2/40
二次根式的小结与复习_第3页
3/40
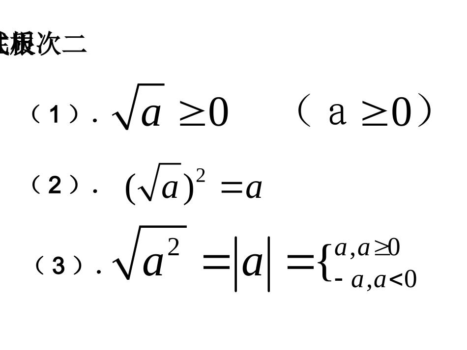
二次根式三个概念两个公式三个性质四种运算二次根式最简二次根式同类二次根式baba)0,0(ba0,0babaab1、2、加、减、乘、除知识结构2()aa2,0,0{aaaaaa00a(a)二次根式的概念形如(a0)的式子叫做二次根式a1.二次根式的定义:2.二次根式的识别:(1).被开方数(2).根指数是20a二次根式的性质(1).00a(a)(2).2()aa(3).2,0,0{aaaaaa通过本章的学习,大家都来说说对二次根式的认识a?(0).aa形如的式子叫做二次根式2.a可以是数,也可以是式.3.形式上含有二次根号4.a≥0,≥0a5.既可表示开方运算,也可表示运算的结果.1.表示a的算术平方根(双重非负性)?)(22有区别吗与aa题型2:二次根式的非负性的应用.4.已知:+=0,求x-y的值.yx24x5.(2005.湖北黄冈市)已知x,y为实数,且+3(y-2)2=0,则x-y的值为()A.3B.-3C.1D.-11x解:由题意,得x-4=0且2x+y=0解得x=4,y=-8x-y=4-(-8)=4+8=12D2.从取值范围来看,2a2aa≥0a取任何实数1.从运算顺序来看,2a2a先开方,后平方先平方,后开方3.从运算结果来看:=aa(a≥0)2a2a-a(a≤0)==a∣∣练习抢答:判断下列二次根式是否是最简二次根式,并说明理由。621)6())(()5(75.0)4()3()2(50)1(2222babayxbca满足下列两个条件的二次根式,叫做最简二次根式(1)被开方数的因数是整数,因式是整式(2)被开方数中不含能开得尽方的因数或因式化简二次根式的方法:(1)如果被开方数是整数或整式时,先因数分解或因式分解,然后利用积的算术平方根的性质,将式子化简。(2)如果被开方数是分数或分式时,先利用商的算术平方根的性质,将其变为二次根式相除的形式,然后利用分母有理化,将式子化简。例1:把下列各式化成最简二次根式例2:把下列各式化成最简二次根式22164)2(54)1(aa(a≥0)(x>0)xyx2)2(2114)1(试一试:一个台阶如图,阶梯每一层高15cm,宽25cm,长60cm.一只蚂蚁从A点爬到B点最短路程是多少?251515256060AB解:B151525256060A228060AB10000100(1)判断下列各式是否成立?你认为成立的,请在括号里打“√”,不成立的,请在括号里打“×”24552455,15441544833833,322322(2)你判断完以上各题之后,能猜想这类式子具有什么规律?(3)试用数学知识说明你所提出的猜想是正确的吗?探索性练习:22ab,20a,02b22(2)ab原式22(22)24拓展1设a、b为实数,且|2-a|+b-2=0√22ab,22(1)求a-22a+2+b的值.12a0,b202ab20解:而11221若a为底,b为腰,此时底边上的高为2142721422222∴三角形的面积为(2)若满足上式的a,b为等腰三角形的两边,求这个等腰三角形的面积.拓展1设a、b为实数,且|2-a|+b-2=0√22ab,解:若a为腰,b为底,此时底边上的高为11472222∴三角形的面积为2211()22(1)求a-22a+2+b的值.ABPDC若点P为线段CD上动点。,10已知△ABP的一边AB=(2)如图所示,AD⊥DC于D,BC⊥CD于C,①则AD=____BC=____12(1)在如图所示的4×4的方格中画出格点△ABP,使三角形的三边为,10,5,5拓展2ABPDC若点P为线段CD上动点。,10已知△ABP的一边AB=(2)如图所示,AD⊥DC于D,BC⊥CD于C,①则AD=____BC=____12(1)在如图所示的4×4的方格中画出格点△ABP,使三角形的三边为,10,5,5拓展2ABPDC若点P为线段CD上动点。,10已知△ABP的一边AB=(2)如图所示,AD⊥DC于D,BC⊥CD于C,①则AD=____BC=____12(1)在如图所示的4×4的方格中画出格点△ABP,使三角形的三边为,10,5,5拓展2ABPDC若点P为线段CD上动点。,10已知△ABP的一边AB=(2)如图所示,AD⊥DC于D,BC⊥CD于C,①则AD=____BC=____12(1)在如图所示的4×4的方格中画出格点△ABP,使三角形的三边为,10,5,5拓展2ABPDC若点P为线段CD上动点。,10已知△ABP的一边AB=(2)如图所示,AD⊥DC于D,BC⊥CD于C,①则AD=____BC=____12(1)在如图所示的4×4的方格中画出格点△ABP,使三角形的三边为,10,5,5拓展2ABPDC若点P为线段CD上动点。,10已知△ABP的一边AB=(2...

1、当您付费下载文档后,您只拥有了使用权限,并不意味着购买了版权,文档只能用于自身使用,不得用于其他商业用途(如 [转卖]进行直接盈利或[编辑后售卖]进行间接盈利)。
2、本站所有内容均由合作方或网友上传,本站不对文档的完整性、权威性及其观点立场正确性做任何保证或承诺!文档内容仅供研究参考,付费前请自行鉴别。
3、如文档内容存在违规,或者侵犯商业秘密、侵犯著作权等,请点击“违规举报”。

碎片内容

二次根式的小结与复习

您可能关注的文档

教育教学文库+ 关注
实名认证
内容提供者

本店有大量的教育教学资料,课件

相关文档

确认删除?
VIP
微信客服
  • 扫码咨询
会员Q群
  • 会员专属群点击这里加入QQ群
客服邮箱
回到顶部