电脑桌面
添加小米粒文库到电脑桌面
安装后可以在桌面快捷访问

人教A版高中数学必修四模块综合测试卷VIP免费

人教A版高中数学必修四模块综合测试卷_第1页
1/6
人教A版高中数学必修四模块综合测试卷_第2页
2/6
人教A版高中数学必修四模块综合测试卷_第3页
3/6
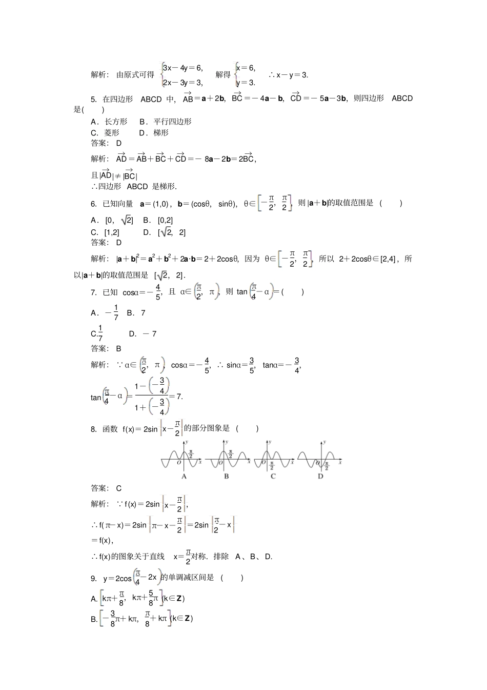
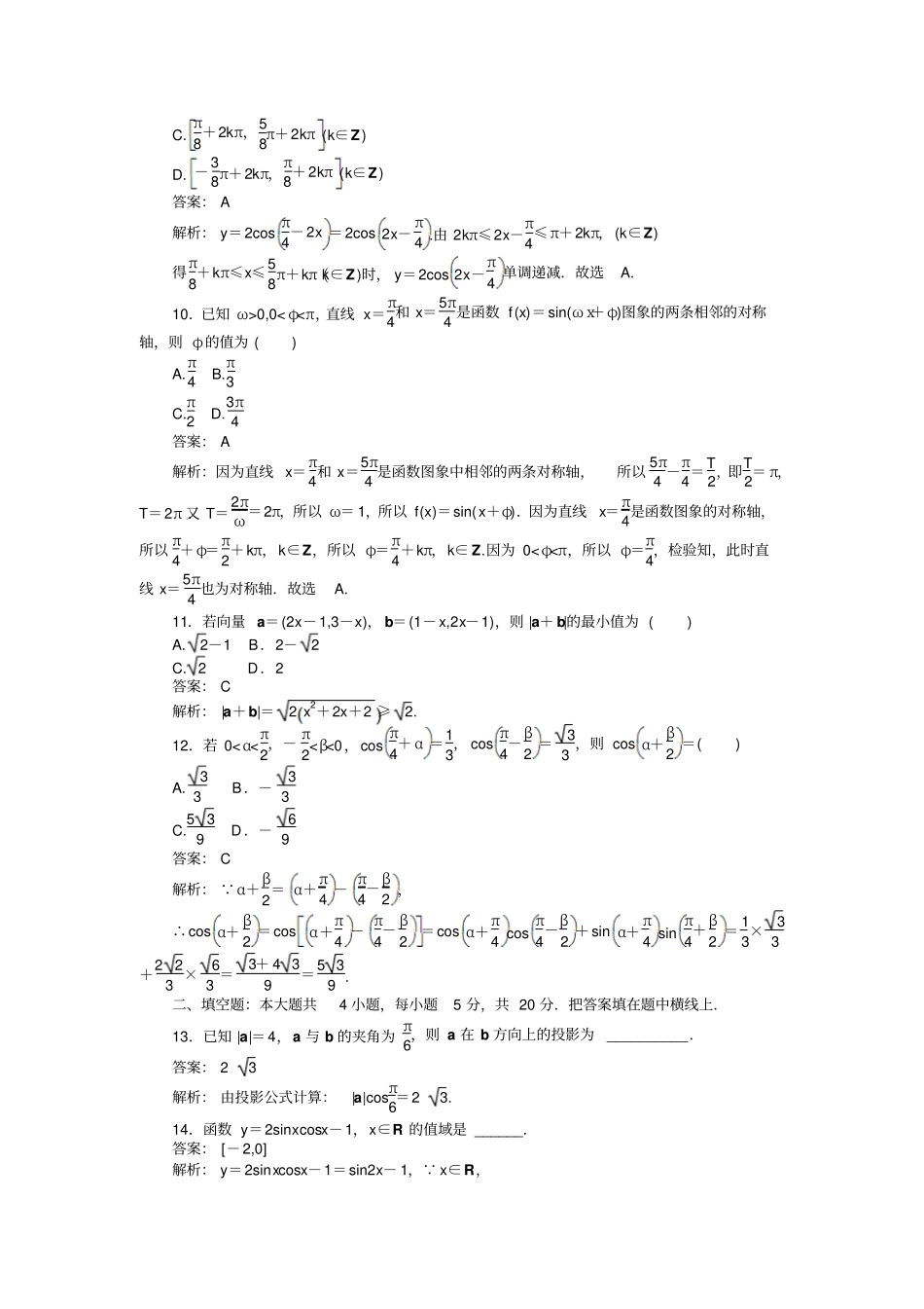
高中数学学习材料(灿若寒星精心整理制作)模块综合测试卷班级____姓名____考号____分数____本试卷满分150分,考试时间120分钟.一、选择题:本大题共12题,每题5分,共60分.在下列各题的四个选项中,只有一个选项是符合题目要求的.1.-3290°角是()A.第一象限角B.第二象限角C.第三象限角D.第四象限角答案:D解析:-3290°=-360°×10+310° 310°是第四象限角∴-3290°是第四象限角2.在单位圆中,一条弦AB的长度为3,则该弦AB所对的弧长l为()A.23πB.34πC.56πD.π答案:A解析:设该弦AB所对的圆心角为α,由已知R=1,∴sinα2=AB2R=32,∴α2=π3,∴α=23π,∴l=αR=23π.3.下列函数中周期为π2的偶函数是()A.y=sin4xB.y=cos22x-sin22xC.y=tan2xD.y=cos2x答案:B解析:A中函数的周期T=2π4=π2,是奇函数.B可化为y=cos4x,其周期为T=2π4=π2,是偶函数.C中T=π2,是奇函数,D中T=2π2=π,是偶函数.故选B.4.已知向量a,b不共线,实数x,y满足(3x-4y)a+(2x-3y)·b=6a+3b,则x-y的值为()A.3B.-3C.0D.2答案:A解析:由原式可得3x-4y=6,2x-3y=3,解得x=6,y=3.∴x-y=3.5.在四边形ABCD中,AB→=a+2b,BC→=-4a-b,CD→=-5a-3b,则四边形ABCD是()A.长方形B.平行四边形C.菱形D.梯形答案:D解析:AD→=AB→+BC→+CD→=-8a-2b=2BC→,且|AD→|≠|BC→|∴四边形ABCD是梯形.6.已知向量a=(1,0),b=(cosθ,sinθ),θ∈-π2,π2,则|a+b|的取值范围是()A.[0,2]B.[0,2]C.[1,2]D.[2,2]答案:D解析:|a+b|2=a2+b2+2a·b=2+2cosθ,因为θ∈-π2,π2,所以2+2cosθ∈[2,4],所以|a+b|的取值范围是[2,2].7.已知cosα=-45,且α∈π2,π,则tanπ4-α=()A.-17B.7C.17D.-7答案:B解析: α∈π2,π,cosα=-45,∴sinα=35,tanα=-34,tanπ4-α=1--341+-34=7.8.函数f(x)=2sinx-π2的部分图象是()答案:C解析: f(x)=2sinx-π2,∴f(π-x)=2sinπ-x-π2=2sinπ2-x=f(x),∴f(x)的图象关于直线x=π2对称.排除A、B、D.9.y=2cosπ4-2x的单调减区间是()A.kπ+π8,kπ+58π(k∈Z)B.-38π+kπ,π8+kπ(k∈Z)C.π8+2kπ,58π+2kπ(k∈Z)D.-38π+2kπ,π8+2kπ(k∈Z)答案:A解析:y=2cosπ4-2x=2cos2x-π4.由2kπ≤2x-π4≤π+2kπ,(k∈Z)得π8+kπ≤x≤58π+kπ(k∈Z)时,y=2cos2x-π4单调递减.故选A.10.已知ω>0,0<φ<π,直线x=π4和x=5π4是函数f(x)=sin(ωx+φ)图象的两条相邻的对称轴,则φ的值为()A.π4B.π3C.π2D.3π4答案:A解析:因为直线x=π4和x=5π4是函数图象中相邻的两条对称轴,所以5π4-π4=T2,即T2=π,T=2π.又T=2πω=2π,所以ω=1,所以f(x)=sin(x+φ).因为直线x=π4是函数图象的对称轴,所以π4+φ=π2+kπ,k∈Z,所以φ=π4+kπ,k∈Z.因为0<φ<π,所以φ=π4,检验知,此时直线x=5π4也为对称轴.故选A.11.若向量a=(2x-1,3-x),b=(1-x,2x-1),则|a+b|的最小值为()A.2-1B.2-2C.2D.2答案:C解析:|a+b|=2x2+2x+2≥2.12.若0<α<π2,-π2<β<0,cosπ4+α=13,cosπ4-β2=33,则cosα+β2=()A.33B.-33C.539D.-69答案:C解析: α+β2=α+π4-π4-β2,∴cosα+β2=cosα+π4-π4-β2=cosα+π4cosπ4-β2+sinα+π4sinπ4+β2=13×33+223×63=3+439=539.二、填空题:本大题共4小题,每小题5分,共20分.把答案填在题中横线上.13.已知|a|=4,a与b的夹角为π6,则a在b方向上的投影为__________.答案:23解析:由投影公式计算:|a|cosπ6=23.14.函数y=2sinxcosx-1,x∈R的值域是______.答案:[-2,0]解析:y=2sinxcosx-1=sin2x-1, x∈R,∴sin2x∈[-1,1],∴y∈[-2,0].15.已知函数f(x)=3sinωx-π6(ω>0)和g(x)=2cos(2x+φ)+1的图象的对称轴完全相同.若x∈0,π2,则f(x)的取值范围是________.答案:-32,3解析:由f(x)与g(x)的图像的对称轴完全相同,易知:ω=2,因为x∈0,...

1、当您付费下载文档后,您只拥有了使用权限,并不意味着购买了版权,文档只能用于自身使用,不得用于其他商业用途(如 [转卖]进行直接盈利或[编辑后售卖]进行间接盈利)。
2、本站所有内容均由合作方或网友上传,本站不对文档的完整性、权威性及其观点立场正确性做任何保证或承诺!文档内容仅供研究参考,付费前请自行鉴别。
3、如文档内容存在违规,或者侵犯商业秘密、侵犯著作权等,请点击“违规举报”。

碎片内容

人教A版高中数学必修四模块综合测试卷

您可能关注的文档

确认删除?
VIP
微信客服
  • 扫码咨询
会员Q群
  • 会员专属群点击这里加入QQ群
客服邮箱
回到顶部