电脑桌面
添加小米粒文库到电脑桌面
安装后可以在桌面快捷访问

小升初数学 衔接讲与练 第九讲 有理数的简算试卷VIP免费

小升初数学 衔接讲与练 第九讲 有理数的简算试卷_第1页
1/4
小升初数学 衔接讲与练 第九讲 有理数的简算试卷_第2页
2/4
小升初数学 衔接讲与练 第九讲 有理数的简算试卷_第3页
3/4
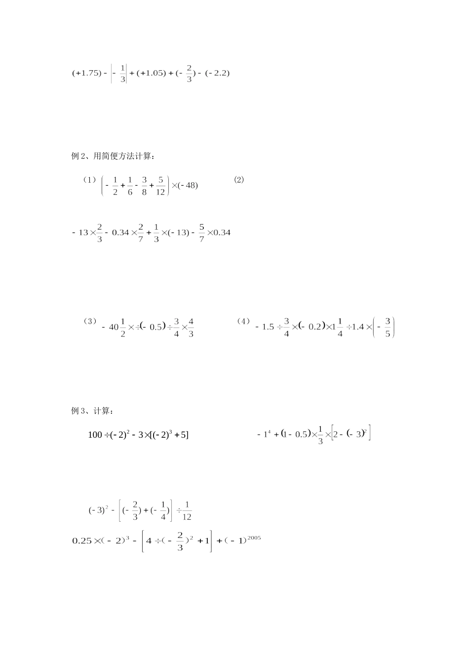
第九讲有理数的简算【学习目标】1、理解有理数的加、减、乘、除运算规律,并会灵活运用。2、正确合理地进行有理数的混合运算,注意灵活运用运算律的简化运算,培养解题能力,提高运算速度【知识要点】1、有理数的运算:有理数加法法则:同号两数相加,取相同的符号,并把绝对值相加。异号两数相加,取绝对值较大数的符号,并用较大数的绝对值减。加法交换律:;加法结合律:。有理数减法法则:减去一个数等于加上这个数的相反数。有理数乘法法则:两数相乘,同号得正,异号得负,并把绝对值相乘。乘法交换律:;乘法结合律:;乘法分配律:,有理数除法运算:除以一个数等于乘以这个数的倒数。有理数混合运算:先算乘方,再算乘除,最后算加减,如果有括号,先算括号里面的,再算括号外面的。【经典例题】例1、计算:(1)(2)(3)(4)例2、用简便方法计算:(1)(2)(3)(4)例3、计算:23100(2)3[(2)5]【经典练习】一、填空题:1、的负整数是,最小的正整数是,绝对值最小的数为.2、反数等于本身的数有,倒数等于本身的数有,绝对值等于本身的数有,平方等于本身的数有,立方等于本身的数有.3、自然数,求,=,,.4、值大于1而不大于3的整数有,它们的和是。二、计算下列各式:99×(-)-13×-0.34×+×(-13)-×(0.34)【课后作业】一、计算下列各题:二、如果,求10a+b-c的值.三、某水利勘察队,第一天向上游走5千米,第二天又向上游走5,第三天向下游走4千米,第四天又向下游走4.5千米,这时勘察队在出发点的哪里?相距多少千米?

1、当您付费下载文档后,您只拥有了使用权限,并不意味着购买了版权,文档只能用于自身使用,不得用于其他商业用途(如 [转卖]进行直接盈利或[编辑后售卖]进行间接盈利)。
2、本站所有内容均由合作方或网友上传,本站不对文档的完整性、权威性及其观点立场正确性做任何保证或承诺!文档内容仅供研究参考,付费前请自行鉴别。
3、如文档内容存在违规,或者侵犯商业秘密、侵犯著作权等,请点击“违规举报”。

碎片内容

小升初数学 衔接讲与练 第九讲 有理数的简算试卷

;绿洲书城+ 关注
实名认证
内容提供者

从事历史教学,热爱教育,高度负责。

确认删除?
VIP
微信客服
  • 扫码咨询
会员Q群
  • 会员专属群点击这里加入QQ群
客服邮箱
回到顶部