电脑桌面
添加小米粒文库到电脑桌面
安装后可以在桌面快捷访问

华师大版八年级数学上册整式的乘除综合测验VIP免费

华师大版八年级数学上册整式的乘除综合测验_第1页
1/7
华师大版八年级数学上册整式的乘除综合测验_第2页
2/7
华师大版八年级数学上册整式的乘除综合测验_第3页
3/7
灿若寒星制作灿若寒星制作整式的乘除综合测验(时间: 90 分钟满分: 100 分)一、选择题(每小题2 分,共 30 分)1.下列运算正确的是()A .a6·a3=a18B.( -a)6· ( - a)3=-a9C.a6÷a3=a2D.( - a)6· ( -a )3=a92.化简 a(a+1) -a (1-a )的结果是()A .2a B.2a2C.0 D.2a2-2 a 3.如果( x+a)( x+b)的积中不含x 的一次项,那么a,b 一定是()A .互为倒数B.互为相反数C.a=0 或 b=0 D.ab=0 4.利用因式分解简便计算57× 99+44× 99-99?正确的是()A .99×( 57+44)=99×101=9999;B.99×( 57+44-1)=99×100=9900 C.99×( 57+44+1)=99× 102=10098;D.99×( 57+44-99)=99×2=198 5.如果( x-2 )( x+3 )=x2+px+q ,那么 p,q 的值是()A .p=5,q=6 B.p=1,q=-6 C.p=1,q=6 D.p=5,q=-6 6 .把多项式( m+1)( m-1)+(m-1)提取公因式(m-1)后, ?余下的部分是() A.m+1 B.2m C .2 D.m+2 7.如果 x2+kx+64 是一个整式的平方,那么k 的值是() A.8 B.-8 C.8 或-8 D.16 或-16 8.下面的计算结果为3x2+13x-10 的是() A.( 3x+2)( x+5) B.( 3x-2 )( x-5 ) C.( 3x-2 )( x+5) D.( x-2 )( 3x+5)9.已知 m2+n2-6m+10n+34=0,则 m+n的值是() A.-2 B.2 C.8 D.-8 10.因式分解x2+2xy+y2-4 的结果是() A.( x+y+2)( x+y-2 ) B.( x+y+4)( x+y-1 ) C.( x+y-4 )( x+y+1) D.不能分解 11 .下列各式计算正确的是()A .( a- b)2=a2- b2B.( 12x+3 )2= 14x2+3x+9 C.- a(3a2-1 )=-3a2-a D.( 2x-y )( -y-2x )=4x2- y2灿若寒星制作灿若寒星制作 12 .若规定一种运算:a※b=ab+a-b ,其中 a、b 为常数,则 a※b+(b-a )※b 等于()A. a2-bB.b2-bC.b2D.b2-a13.一根细长的绳子,沿中间对折, 再沿对折后的中间对折,这样连续沿中间对折5 次,用剪刀沿 5 次对折后的中间将绳子全部剪断,此时细绳被剪成()A .17 段B.32 段C. 33 段D.34 段14.下列各因式分解正确的是()A .12xyz-9 x2y2=3xy z(4-3xy )B.3a2y-3ay+6y=3y ( a2-a +2)C.a4-b4=(a-b )4D.a2b+5ab-b2=b(a2+5a)15.若 a+ 1a=2,则 a2+21a的值是() A.2 B.4 C.0 D.-4 二、填空题(...

1、当您付费下载文档后,您只拥有了使用权限,并不意味着购买了版权,文档只能用于自身使用,不得用于其他商业用途(如 [转卖]进行直接盈利或[编辑后售卖]进行间接盈利)。
2、本站所有内容均由合作方或网友上传,本站不对文档的完整性、权威性及其观点立场正确性做任何保证或承诺!文档内容仅供研究参考,付费前请自行鉴别。
3、如文档内容存在违规,或者侵犯商业秘密、侵犯著作权等,请点击“违规举报”。

碎片内容

华师大版八年级数学上册整式的乘除综合测验

您可能关注的文档

爱的疯狂+ 关注
实名认证
内容提供者

该用户很懒,什么也没介绍

确认删除?
VIP
微信客服
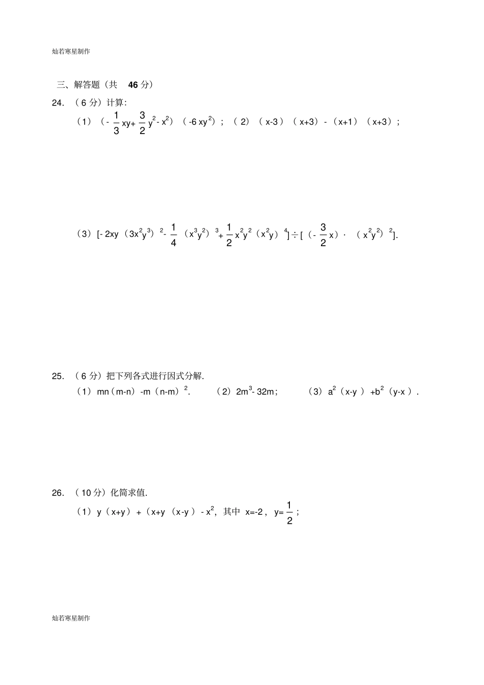
  • 扫码咨询
会员Q群
  • 会员专属群点击这里加入QQ群
客服邮箱
回到顶部