电脑桌面
添加小米粒文库到电脑桌面
安装后可以在桌面快捷访问

二次根式单元测试题二VIP免费

二次根式单元测试题二_第1页
1/5
二次根式单元测试题二_第2页
2/5
二次根式单元测试题二_第3页
3/5
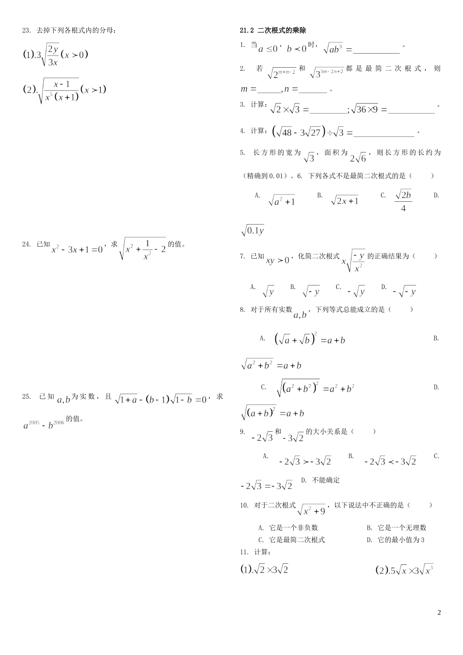
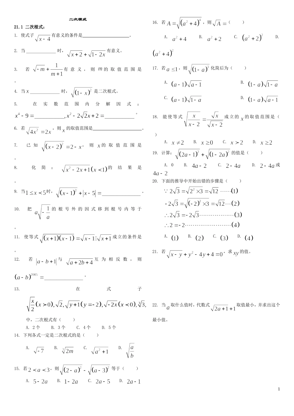
二次根式21.1 二次根式:1. 使式子有意义的条件是 。2. 当时,有意义。3. 若有 意 义 , 则的 取 值 范 围 是 。4. 当时,是二次根式。5. 在实数范围内分解因式:。6. 若,则的取值范围是 。7. 已 知, 则的 取 值 范 围 是 。8. 化简:的结果是 。9. 当时,。10. 把的 根 号 外 的 因 式 移 到 根 号 内 等 于 。11. 使等式成立的条件是 。12. 若与互 为 相 反 数 , 则。13. 在式子中,二次根式有( )A. 2 个 B. 3 个 C. 4 个 D. 5 个14. 下列各式一定是二次根式的是( )A. B. C. D. 15. 若,则等于( )A. B. C. D. 16. 若,则( )A. B. C. D. 17. 若,则化简后为( )A. B. C. D. 18. 能 使 等 式成 立 的的 取 值 范 围 是 ( )A. B. C. D. 19. 计算:的值是( )A. 0 B. C. D. 或20. 下面的推导中开始出错的步骤是( )A. B. C. D. 21. 若,求的值。22. 当取什么值时,代数式取值最小,并求出这个最小值。123. 去掉下列各根式内的分母: 24. 已知,求的值。25. 已 知为 实 数 , 且, 求的值。21.2 二次根式的乘除1. 当,时,。2. 若和都 是 最 简 二 次 根 式 , 则。3. 计算:。4. 计算:。5. 长 方 形 的 宽 为, 面 积 为, 则 长 方 形 的 长 约 为 (精确到 0.01)。6. 下列各式不是最简二次根式的是( ) A. B. C. D. 7. 已知,化简二次根式的正确结果为( ) A. B. C. D. 8. 对于所有实数,下列等式总能成立的是( ) A. B. C. D. 9. 和的大小关系是( ) A. B. C. D. 不能确定10. 对于二次根式,以下说法中不正确的是( )A. 它是一个非负数 B. 它是一个无理数C. 它是最简二次根式 D. 它的最小值为 311. 计算: 2 12. 化简: 13. 把根号外的因式移到根号内: 21.3 二次根式的加减1. 下列根式中,与是同类二次根式的是( ) A. B. C. D. 2. 下面说法正确的是( ) A. 被开方数相同的二次根式一定是同类二次根式 B. 与是同类二次根式 C. 与不是同类二次根式 D. 同类二次根式是根指数为 2 的根式3. 与不是同类二次根式的是( ) A. B. C. D. 4. 下列根式中,是最简二次根式的是( ) A. B. C. D. 5. 若,则化简的结果是( ) A. B. C. 3 D. -36. 若,则的值等于( ) A. 4 B. C. 2 D. 7. 若的整数部分为,小数部分为,则的值是( ) A. B. C. 1 D. 338. 下列式子中正确的是( ) A. B. C. D. 9. 在中,与是同类二次根式的是 。10.若最简二次根式与是同类二次根式,则。11. 一个三角形的三边长分别为,则它的周长是 cm。12. 若最简二次根式与是同类二次根式,则。13. 已知,则。14. 已知,则。15. 。16. 计算:⑴. ⑵. ⑶. ⑷. 17. 计算及化简:⑴. ⑵. ⑶. 4⑷. 18. 已知:,求的值。19. 已知:,求的值。20. 已知:为实数,且,化简:。21. 已知的值。5

1、当您付费下载文档后,您只拥有了使用权限,并不意味着购买了版权,文档只能用于自身使用,不得用于其他商业用途(如 [转卖]进行直接盈利或[编辑后售卖]进行间接盈利)。
2、本站所有内容均由合作方或网友上传,本站不对文档的完整性、权威性及其观点立场正确性做任何保证或承诺!文档内容仅供研究参考,付费前请自行鉴别。
3、如文档内容存在违规,或者侵犯商业秘密、侵犯著作权等,请点击“违规举报”。

碎片内容

二次根式单元测试题二

您可能关注的文档

精品文库+ 关注
实名认证
内容提供者

小学学习各类资料大全

相关文档

确认删除?
VIP
微信客服
  • 扫码咨询
会员Q群
  • 会员专属群点击这里加入QQ群
客服邮箱
回到顶部