电脑桌面
添加小米粒文库到电脑桌面
安装后可以在桌面快捷访问

完整版指数与对数运算练习题VIP免费

完整版指数与对数运算练习题_第1页
1/3
完整版指数与对数运算练习题_第2页
2/3
完整版指数与对数运算练习题_第3页
3/3
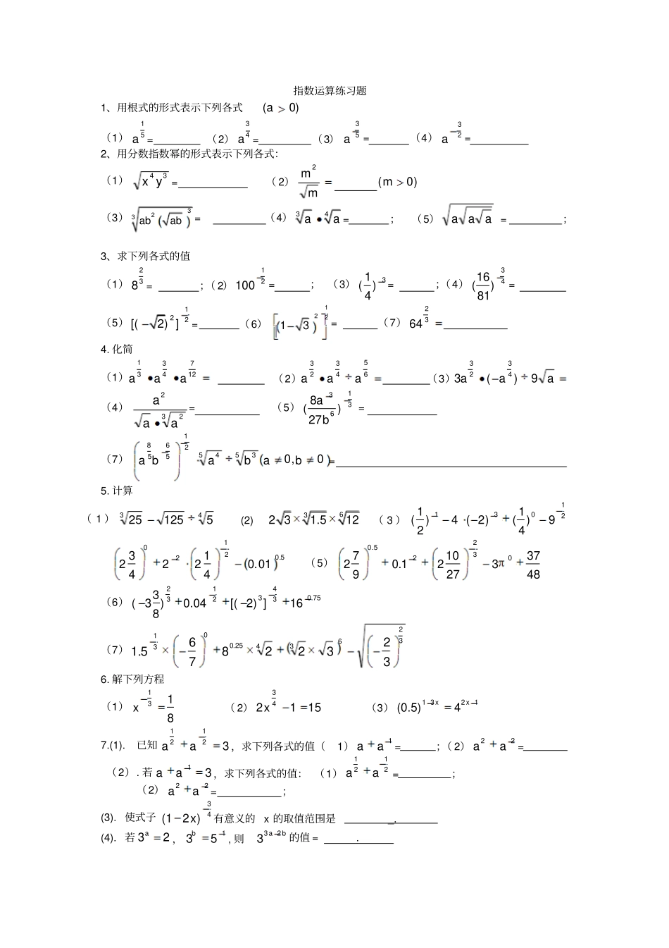
指数运算练习题1、用根式的形式表示下列各式)0(a(1)51a = (2)34a = (3)35a= (4)32a= 2、用分数指数幂的形式表示下列各式:(1)34 yx= ( 2))0(2mmm(3)323 abab= (4) 34aa = ;(5)aaa = ;3、求下列各式的值(1)238 = ;( 2)12100= ; (3)31()4= ;(4)3416()81= (5)122[(2) ]= (6)12213= (7)32644. 化简(1)1274331aaa(2)654323aaa(3)aaa9)(34323(4)322aaa= (5)3163)278(ba = (7)0,05354215658bababa= 5. 计算( 1 )43512525(2) 632 31.512( 3 )210319)41()2(4)21(5.0212001.04122432(5)48373271021.097203225.0(6)24130.753323( 3 )0.04[( 2) ]168(7)3263425.0031323228765.16. 解下列方程(1)1318x( 2)151243x(3)1 321(0.5)4xx7.(1).已知11223aa,求下列各式的值(1)1aa= ;( 2)22aa= (2). 若13aa,求下列各式的值: (1)1122aa= ;(2)22aa= ;(3). 使式子34(12 )x有意义的 x 的取值范围是 _. (4). 若 32a,135b, 则323ab 的值 = . 对数运算练习题一、选择题1、以下四式中正确的是()A、log 22=4 B、log21=1 C、log 216=4 D、log 221 = 412、下列各式值为0 的是()A、10B、log 33 C、(2-3 )°D、log 2∣- 1∣3、251log 2的值是()A、- 5B、5C、51D、-514、若 m=lg5-lg2,则 10m 的值是()A、 25B、3C、 10D、1 5、设 N=3log12+3log15,则()A、N=2B、N=2C、N<- 2D、N>2 6、在)5(log2aba中,实数 a 的范围是() A、 a5或 a2B、 25a C、 23a或 35aD、 34a7、 若 log [log (log)]4320x,则 x12 等于() A、142B、122C、 8 D、 4 8、 33 4log的值是() A 、 16 B、 2 C、 3 D、 4 9、nn 1log(nn-+1)等于()A、1 B、- 1 C、2 D、- 2 二、填空题10、用对数形式表示下列各式中的x 10x=25:____;2x=12:____; 4x=61 :____11、 lg1+lg0.1+lg0.01=_____________ 12、 Log155=m,则 log 153=________________ 13、14lg2lg2+∣ lg5-1∣=_________14.(1).31log2aa, 则 log12 3= (2).6log18log)3(log2626= .(3)____________50lg2lg5lg2;(4)5log38log932log2log25333=________(5)25lg50lg2lg20lg5lg=__________ 15 、若 lg2 =a,lg3 =b,则 log 512=________ 19、 3a=2,则 log 38-2log 36=________ 16、 若2log2,log3,m naamn a_______ 21、 lg25+lg2lg50+(lg2)2= 三、解答题17、求下列各式的值⑴2log 28 ⑵ 3log39 ⑶252log 1⑷373log 118、求下列各式的值⑴lg10- 5⑵lg0.01 ⑶ log281⑷log271 81 19、求 lg25+lg2 ·lg25+lg22 的值20、化简计算: log 2251 ·log 381 ·log59121. 化简:24525log 5+log 0.2log 2+log0.5 . 22. 若 lglg2lg 2lglgxyxyxy ,求 xy的值.23.已知2log 3 = a,3log 7 = b,用 a,b 表示42log56. 24 计算,( 1)0.21 log35; (2)44912log 3 log 2log32 ;(3)(log 25+log 4125)5log2log3325.计算 :7log35log)13(3log)971(551lg4321

1、当您付费下载文档后,您只拥有了使用权限,并不意味着购买了版权,文档只能用于自身使用,不得用于其他商业用途(如 [转卖]进行直接盈利或[编辑后售卖]进行间接盈利)。
2、本站所有内容均由合作方或网友上传,本站不对文档的完整性、权威性及其观点立场正确性做任何保证或承诺!文档内容仅供研究参考,付费前请自行鉴别。
3、如文档内容存在违规,或者侵犯商业秘密、侵犯著作权等,请点击“违规举报”。

碎片内容

完整版指数与对数运算练习题

爱的疯狂+ 关注
实名认证
内容提供者

该用户很懒,什么也没介绍

确认删除?
VIP
微信客服
  • 扫码咨询
会员Q群
  • 会员专属群点击这里加入QQ群
客服邮箱
回到顶部