电脑桌面
添加小米粒文库到电脑桌面
安装后可以在桌面快捷访问

实数难题提高题VIP免费

实数难题提高题_第1页
1/6
实数难题提高题_第2页
2/6
实数难题提高题_第3页
3/6
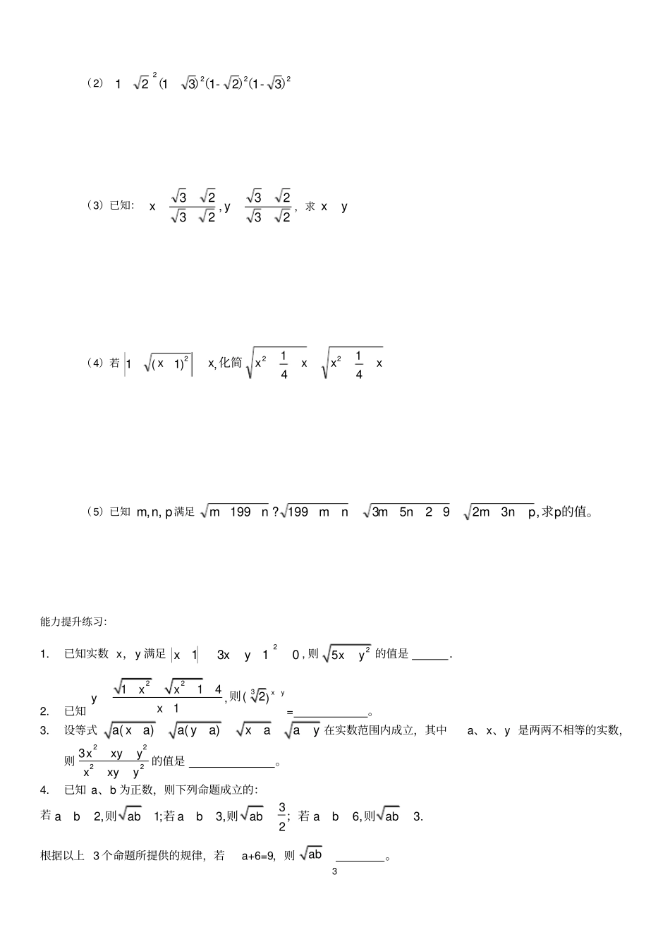
1 第1讲 实数拓展提高题课专题一:实数相关概念与性质的应用方法指导:平方根与算术平方根的区别和联系;立方根的定义与性质,二次根式定义与性质及无理数概念。1.下列说法正确的是:()A. -2 是-4 的平方根B. 2 是( -2 )2 的算术平方根C. (-2 )2 的平方根是2 D. 8 的平方根是2 2. 若a 和a 都有意义,则() A.0a B. 0a C.0a D.0a3. 下列语句中,正确的是() A. 一个实数的平方根有两个,它们互为相反数 B. 一个实数的立方根不是正数就是负数 C. 负数没有立方根 D. 如果一个数的立方根是这个数本身,那么这个数一定是-1 或 0 或 1 4. 如果一个自然数的算术平方根是n, 则下一个自然数的算术平方根是() A. n +1 B. 12n C.1n D.12n5. 以下四个说法①若a 是无理数,则a 是实数;②若a 是有理数,则a 是无理数;③若a 是整数,则a 是有理数;④若a 是自然数,则a 是实数。其中正确的是() A. ①④ B.②③ C.③ D.④6. 下列二次根式中,不能与2 合并的是() A.21 B.8 C.12 D.187. 若实数,0)1(212,2yxyx满足则yx的值等于() A.1 B.23 C.2 D.25专题 二、非负数求和方法指导:2 非负数的三种形式:绝对值,算术平方根,偶次方8. 已知081ba,则._____ba9. 若0)4(322cba,则.______cba10. 若,3)32aa(则 a 与 3 的大小关系是() A.3a B.3a C.3a D.3a11.已知实数 a,b,c满足0412212cccbba,则abc 的算术平方根是________。12.△ABC的三边长为a,b,c , a 和 b 满足0442bbba,则 c 的取值范围 _________。专题三、算术平方根的双重非负性问题(0,0 aa)方法指导:注意二次根式所处的位置13.若14a有意义,则a 能取的最小整数为_______。若12x有意义,则x 范围是 ______。14.若xx2 有意义,则x 范围是 ________。15.若3222xxy,则 xy=_________。专题四、探索规律16.观察下列各式:①17441744;②26552655③37663766... 针对上述各式的反映的规律,(1)请写出第4 个等式,( 2)猜想一般规律,并用含n 表示其等式,说明理由。专题五、实数运算方法点拨:二次根式相关公式及性质;同类二次根式,最简二次根式的含义以及分母有理化。17.(1)483231531131223 (2)22223-12-13121)()()((3)已知:2323,2323yx,求yx(4)若xxxxxx4141,)1(1222化简(5)已知pnm,,满足的值。求ppnmnmnmnm,329253199199?能力提升练习:1.已知实数 x...

1、当您付费下载文档后,您只拥有了使用权限,并不意味着购买了版权,文档只能用于自身使用,不得用于其他商业用途(如 [转卖]进行直接盈利或[编辑后售卖]进行间接盈利)。
2、本站所有内容均由合作方或网友上传,本站不对文档的完整性、权威性及其观点立场正确性做任何保证或承诺!文档内容仅供研究参考,付费前请自行鉴别。
3、如文档内容存在违规,或者侵犯商业秘密、侵犯著作权等,请点击“违规举报”。

碎片内容

实数难题提高题

您可能关注的文档

爱的疯狂+ 关注
实名认证
内容提供者

该用户很懒,什么也没介绍

确认删除?
VIP
微信客服
  • 扫码咨询
会员Q群
  • 会员专属群点击这里加入QQ群
客服邮箱
回到顶部