电脑桌面
添加小米粒文库到电脑桌面
安装后可以在桌面快捷访问

山东高中学业水平考试数学重点及公式VIP免费

山东高中学业水平考试数学重点及公式_第1页
1/4
山东高中学业水平考试数学重点及公式_第2页
2/4
山东高中学业水平考试数学重点及公式_第3页
3/4
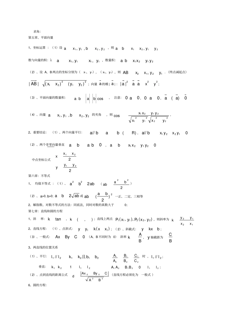
高中数学会考复习必背知识点(本知识点不完全,请同学们再翻阅相关知识点)第一章集合与简易逻辑1、含 n 个元素的集合的所有子集有n2个第二章函数对数: ①:负数和零没有对数,②、1 的对数等于 0:01log a,③、底的对数等于1:1logaa,④、积的对数:NMMNaaaloglog)(log,商的对数:NMNMaaalogloglog,幂的对数:MnManaloglog;bmnbana mloglog,第三章数列1、数列的前n 项和:nnaaaaS321; 数列前 n 项和与通项的关系:)2()1(111nSSnSaannn2、等差数列:(1)、定义 :等差数列从第2 项起,每一项与它的前一项的差等于同一个常数;( 2)通项公式 :dnaan)1(1(其中首项是1a ,公差是 d ;)( 3)前 n 项和: 1.2)(1nnaanSdnnna2)1(1(整理后是关于n 的没有常数项的二次函数)3、等比数列:(1)、定义 :等比数列从第2 项起,每一项与它的前一项的比等于同一个常数,(0q)。( 2)通项公式:11nnqaa(其中:首项是1a ,公比是 q )( 3)前 n 项和:)1(,1)1(1)1(,111qqqaqqaaqnaSnnn第四章三角函数1 弧度制: (1)180弧度, 1 弧度'1857)180(;弧长公式:rl||(是角的弧度数)2、三角函数(1)、定义:rysinrxcosxytan3、特殊角的三角函数值的角度的弧度—4、同角三角函数基本关系式:1cossin22cossintan5、诱导公式: (奇变偶不变,符号看象限)正弦上为正;余弦右为正;正切一三为正公式二:公式三:公式四:公式五:6、两角和与差的正弦、余弦、正切)(S:sincoscossin)sin()(S:sincoscossin)sin()(C:sinsincoscos)cos(a)(C:sinsincoscos)cos(a)(T:tantan1tantan)tan()(T:tantan1tantan)tan(7、辅助角公式 :xbabxbaabaxbxacossincossin2222228、二倍角公式 :( 1)2S:cossin22sin2C:22sincos2cos1cos2sin21222T:2tan1tan22tan( 2)、降幂公式:(多用于研究性质)9、三角函数:函数定义域值域周期性奇偶性递增区间递减区间[ - 1,1] 奇函数[ - 1,1] 偶函数函数定义域值域振幅周期频率相位初相图象[ - A,A] A 五点法10、解三角形 :( 1)、三角形的面积公式:AbcBacCabSsin21sin21sin21(2) 正弦定理:sin2sin2,sin2,2sinsinsinRcBRbARaRCcBbAa, 边用角表示:( 3)余弦定理:求角:第五章、平面向量1、坐标运算 :( 1)设2211,,,yxbyxa,则2121,yyxxba数与向量的积:λ1111,,yxyxa,数量积:2121yyxxba( 2)、设 A、B 两点的坐标分别为(x 1, y1),...

1、当您付费下载文档后,您只拥有了使用权限,并不意味着购买了版权,文档只能用于自身使用,不得用于其他商业用途(如 [转卖]进行直接盈利或[编辑后售卖]进行间接盈利)。
2、本站所有内容均由合作方或网友上传,本站不对文档的完整性、权威性及其观点立场正确性做任何保证或承诺!文档内容仅供研究参考,付费前请自行鉴别。
3、如文档内容存在违规,或者侵犯商业秘密、侵犯著作权等,请点击“违规举报”。

碎片内容

山东高中学业水平考试数学重点及公式

您可能关注的文档

爱的疯狂+ 关注
实名认证
内容提供者

该用户很懒,什么也没介绍

确认删除?
VIP
微信客服
  • 扫码咨询
会员Q群
  • 会员专属群点击这里加入QQ群
客服邮箱
回到顶部