电脑桌面
添加小米粒文库到电脑桌面
安装后可以在桌面快捷访问

山东高中数学会考复习必背知识点VIP专享VIP免费

山东高中数学会考复习必背知识点_第1页
1/4
山东高中数学会考复习必背知识点_第2页
2/4
山东高中数学会考复习必背知识点_第3页
3/4
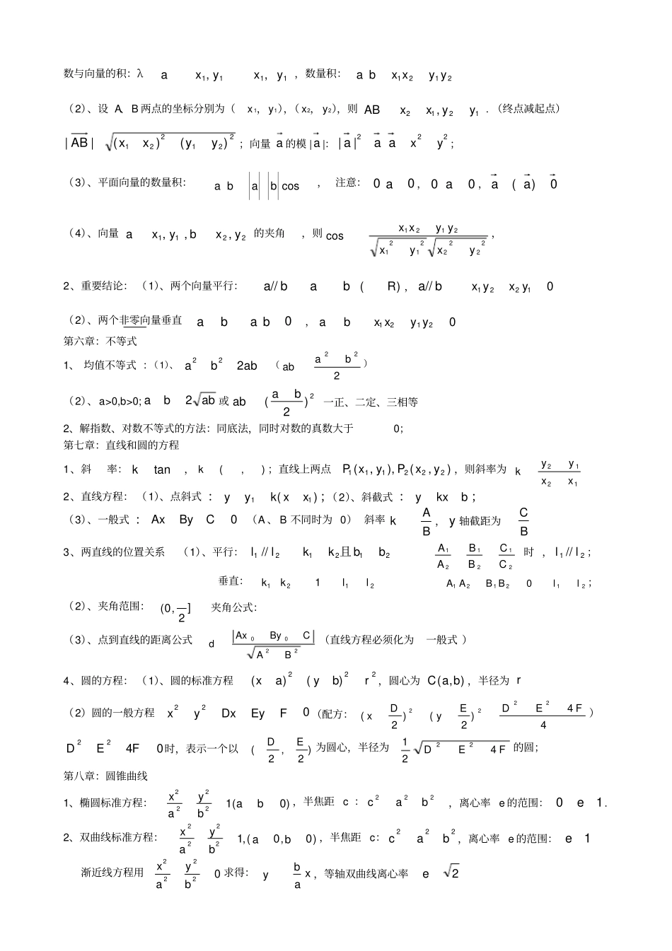
高中数学会考复习必背知识点第一章 集合与简易逻辑1、含 n 个元素的集合的所有子集有n2 个;真子集有 2n – 1 个;非空子集有2n – 1 个;非空的真子集有2n – 2 个. 2、包含关系ABAABBIUUUABC BC AUAC BIUC ABRU第二章 函数对数: ①、负数和零没有对数;②、1 的对数等于0:01log a;③、底的对数等于1:1logaa;④、积的对数:NMMNaaaloglog)(log,商的对数:NMNMaaalogloglog幂的对数:MnManaloglog,bmnbanamloglog。第三章 数列1、数列的前n 项和:nnaaaaS321; 数列前 n 项和与通项的关系:)2()1(111nSSnSaannn2、等差数列:(1)、定义 :等差数列从第2 项起,每一项与它的前一项的差等于同一个常数;( 2)、通项公式 :dnaan)1(1(其中首项是1a ,公差是 d ;)( 3)、前 n 项和:2)(1nnaanSdnnna2)1(1(整理后是关于n 的没有常数项的二次函数)( 4)、等差中项:A 是 a 与 b 的等差中项:2baA或baA2,三个数成等差常设:a-d,a,a+d3、等比数列: (1)、定义 :等比数列从第2 项起,每一项与它的前一项的比等于同一个常数,(0q)。( 2)、通项公式:11nnqaa(其中:首项是1a ,公比是 q )( 3)、前 n 项和:)1(,1)1(1)1(,111qqqaqqaaqnaSnnn( 4)、等比中项:G 是 a 与 b 的等比中项:GbaG,即abG2(或abG,等比中项有两个)第四章 三角函数1、弧度制:(1)、180弧度, 1 弧度'1857)180(;弧长公式:rl||(是角的弧度数)2、三角函数(1)、定义:yrxryxxy rxrycscseccottancossin 3、特殊角的三角函数值的角度030456090120135150180270360的弧度06432324365232sin02122231232221010cos12322210212223101tan03313No 31330No 04、同角三角函数基本关系式:1cossin22cossintan5、诱导公式: (奇变偶不变,符号看象限)正弦上为正;余弦右为正;正切一三为正公式二:公式三:公式四:公式五:tan)180tan(cos)180cos(sin)180sin(tan)180tan(cos)180cos(sin)180sin(tan)tan(cos)cos(sin)sin(tan)360tan(cos)360cos(sin)360sin( 6、两角和与差的正弦、余弦、正切)(S:sincoscossin)sin()(S:sincoscossin)sin()(C:sinsincoscos)cos(a)(C:sinsincoscos)cos(a)(T:tantan1tantan)tan()(T:tantan1tantan)tan(7、辅助角公式 :xbabxbaabaxbxacossincossin222222)sin()sincoscos(sin2222xbaxxba8、二倍角公式 :(1)、2S:cossin22sin(2)、降次公式: ...

1、当您付费下载文档后,您只拥有了使用权限,并不意味着购买了版权,文档只能用于自身使用,不得用于其他商业用途(如 [转卖]进行直接盈利或[编辑后售卖]进行间接盈利)。
2、本站所有内容均由合作方或网友上传,本站不对文档的完整性、权威性及其观点立场正确性做任何保证或承诺!文档内容仅供研究参考,付费前请自行鉴别。
3、如文档内容存在违规,或者侵犯商业秘密、侵犯著作权等,请点击“违规举报”。

碎片内容

山东高中数学会考复习必背知识点

确认删除?
VIP
微信客服
  • 扫码咨询
会员Q群
  • 会员专属群点击这里加入QQ群
客服邮箱
回到顶部