电脑桌面
添加小米粒文库到电脑桌面
安装后可以在桌面快捷访问

§12复变函数的积分柯西定理VIP免费

§12复变函数的积分柯西定理_第1页
1/10
§12复变函数的积分柯西定理_第2页
2/10
§12复变函数的积分柯西定理_第3页
3/10
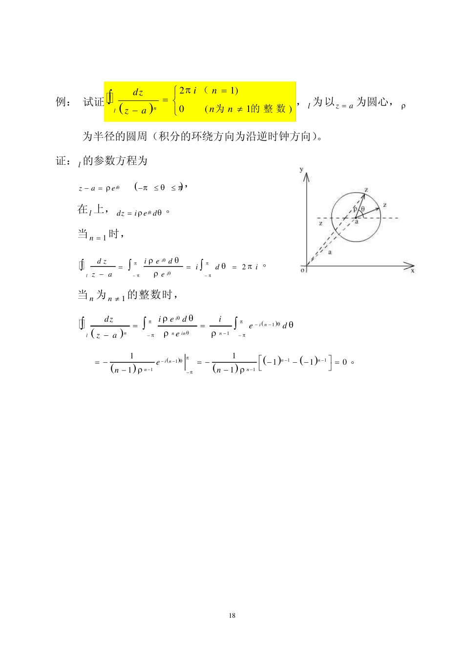
16 第三章 复变函数的积分 §3 -1 复变函数的积分 【刘连寿、王正清编著《数学物理方法》P29-31】 复变函数积分的定义: 设C 为复平面上以0z 为起点,而以 z 为终点的一段路径(即一根曲线),在C上取一系列分点011,,,,nnzzzzz把C 分为 n 段,在每一小段[1kkzz]上任取一点k 作和数: 111nnnkkkkkkkSfzzfz, 其中1kkkzzz 如果当 n   且每一小段的长度(1||||kkkzzz)趋于零时, 和式1nkkkfz的极限存在,并且其值与kz 及k 的选取方式无关,则称这一极限为 fz 沿路径C 由0z 到 z 的积分:  1limlimnnkkCnnkfzd zSfz  , C 称为积分路径( fz 在C 上取值,即 z 在C 上变化)。 若C 为围线(闭的曲线),则积分记为:  Cfz dz. (围道积分) 几点说明: 1. 复变函数的积分不仅与积分端点有关,还与积分路径有关。(与我们以前在高等数学中学过的实变函数的线积分类似。) 1 7 2 .因为 zxiy,dzdxidy, ,,fzux yiv x y,于是   ,,CCfz dzux yivx ydxidy ,,,,CCu x y dxv x y dyiv x y dxu x y dy, 所以复变函数的积分可以归结为两个实变函数的线积分,它们分别是复变函数积分的实部和虚部。 3 .从复变函数积分的定义出发,可以直接得出复变函数的积分具有如下简单性质: (1 )0Cd zzz,z 、0z 分别为C 之起点、终点。 (2 )    11221122CCCa fza fzdzafz dzafz dz,1a 、2a 为复常数。 (3 )   12CCCfz dzfz dzfz dz, 其中积分路径C 由路径1C 、2C 连接而成。 (4 )CCfzdzfzdz , C  表示与C 方向相反的同一条曲线。 4 .围道积分的环绕方向: 若积分路径C 的两端点重合(即C 为自身不相交的封闭曲线),则计算积分 Cfz dz时必须先规定积分路径的环绕方向(因为:  CCfzdzfzdz  )。 以后凡遇围道积分,如不加特别说明,都假定积分路径的环绕方向为沿逆时钟方向。 ( C 为逆时钟方向,C  代表顺时钟方向) 1 8 例: 试证...

1、当您付费下载文档后,您只拥有了使用权限,并不意味着购买了版权,文档只能用于自身使用,不得用于其他商业用途(如 [转卖]进行直接盈利或[编辑后售卖]进行间接盈利)。
2、本站所有内容均由合作方或网友上传,本站不对文档的完整性、权威性及其观点立场正确性做任何保证或承诺!文档内容仅供研究参考,付费前请自行鉴别。
3、如文档内容存在违规,或者侵犯商业秘密、侵犯著作权等,请点击“违规举报”。

碎片内容

§12复变函数的积分柯西定理

小辰6+ 关注
实名认证
内容提供者

出售各种资料和文档

相关文档

确认删除?
VIP
微信客服
  • 扫码咨询
会员Q群
  • 会员专属群点击这里加入QQ群
客服邮箱
回到顶部