电脑桌面
添加小米粒文库到电脑桌面
安装后可以在桌面快捷访问

含参不等式及参数问题

含参不等式及参数问题_第1页
1/11
含参不等式及参数问题_第2页
2/11
含参不等式及参数问题_第3页
3/11
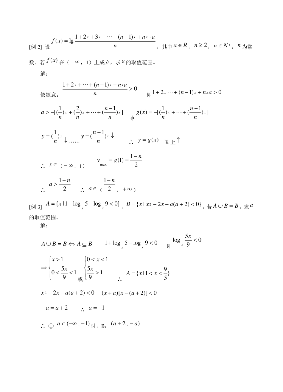
含参不等式及参数问题 一. 教学内容: 含参不等式及参数问题 二. 重点、难点: 含参数的不等式有着丰富的内容,解决含参数不等式的问题不仅需要很熟练的运算能力,而且还需要有明确的数学思想指导,灵活深刻的思维品质。 应注意以下几个问题: 1. 解含有参数的不等式。 2. 已知不等式成立的条件,求参数的范围。 3. 不等式恒成立,能成立,恰成立的问题。 【典型例题】 [例1] 解不等式012xxax。 解:0)1(2xxax (1)当0a时,0)1(xx 解为)1,0(x (2)当0a时,0)11(2axaxx aa412  ① ),41(a时,解为),0(x ② 41a时,解为),2()2,0(x ③ )41,0(a时,解为),2411()2411,0(aaaax (3)0a时,0)11(2xaxax 0412aa 解为:)2411,0()2411,(aaaa [例2] 设nannxfxxxx)1(321lg)(,其中Ra ,2n,*Nn ,n 为常数。若)(xf在(,1)上成立,求a 的取值范围。 解: 依题意:0)1(21nannxxx 即0)1(21annxxx  ])1()2()1[(xxxnnnna 令])1()1[()(xxnnnxg xny)1( ……xnny)1( ∴ )(xgy  R 上 ∴ x(,1) 21)1(maxngy ∴ 21na ∴ a(21n,) [例3] }09log5log1|{xxxA,}0)2(2|{2aaxxxB,若BBA,求a的取值范围。 解: BABBA 09log5log1xx 即095logxx 19501xx或 19510xx ∴ }591|{xxA 0)2(22aaxx 0)]2()[(axax 2aa ∴ 1a ∴ ① )1,(a时,B:),2(aa BA  ∴]59,(11259aaaa ② 1a B(舍) ③ ),1(a BA  ∴ ),51[11592aaaa ∴ ),51[]59,(a [例 4] 已知xaxxxf2)(2 (1)对任意),1[x,)(xf0恒成立,求a 的范围。 (2)当),1[x时,)(xf值域为),0[,求a 。 解: (1)),1[x 022xaxx022axx 01)1(2ax 设1)1()(2axx ),1[x 3)1()(minax ∴ 03 a ∴ 3a (2)22)(2xaxxaxxxf ① 0a ...

1、当您付费下载文档后,您只拥有了使用权限,并不意味着购买了版权,文档只能用于自身使用,不得用于其他商业用途(如 [转卖]进行直接盈利或[编辑后售卖]进行间接盈利)。
2、本站所有内容均由合作方或网友上传,本站不对文档的完整性、权威性及其观点立场正确性做任何保证或承诺!文档内容仅供研究参考,付费前请自行鉴别。
3、如文档内容存在违规,或者侵犯商业秘密、侵犯著作权等,请点击“违规举报”。

碎片内容

含参不等式及参数问题

小辰8+ 关注
实名认证
内容提供者

出售各种资料和文档

相关文档

确认删除?
VIP
微信客服
  • 扫码咨询
会员Q群
  • 会员专属群点击这里加入QQ群
客服邮箱
回到顶部