电脑桌面
添加小米粒文库到电脑桌面
安装后可以在桌面快捷访问

对数平均不等式的应用

对数平均不等式的应用_第1页
1/7
对数平均不等式的应用_第2页
2/7
对数平均不等式的应用_第3页
3/7
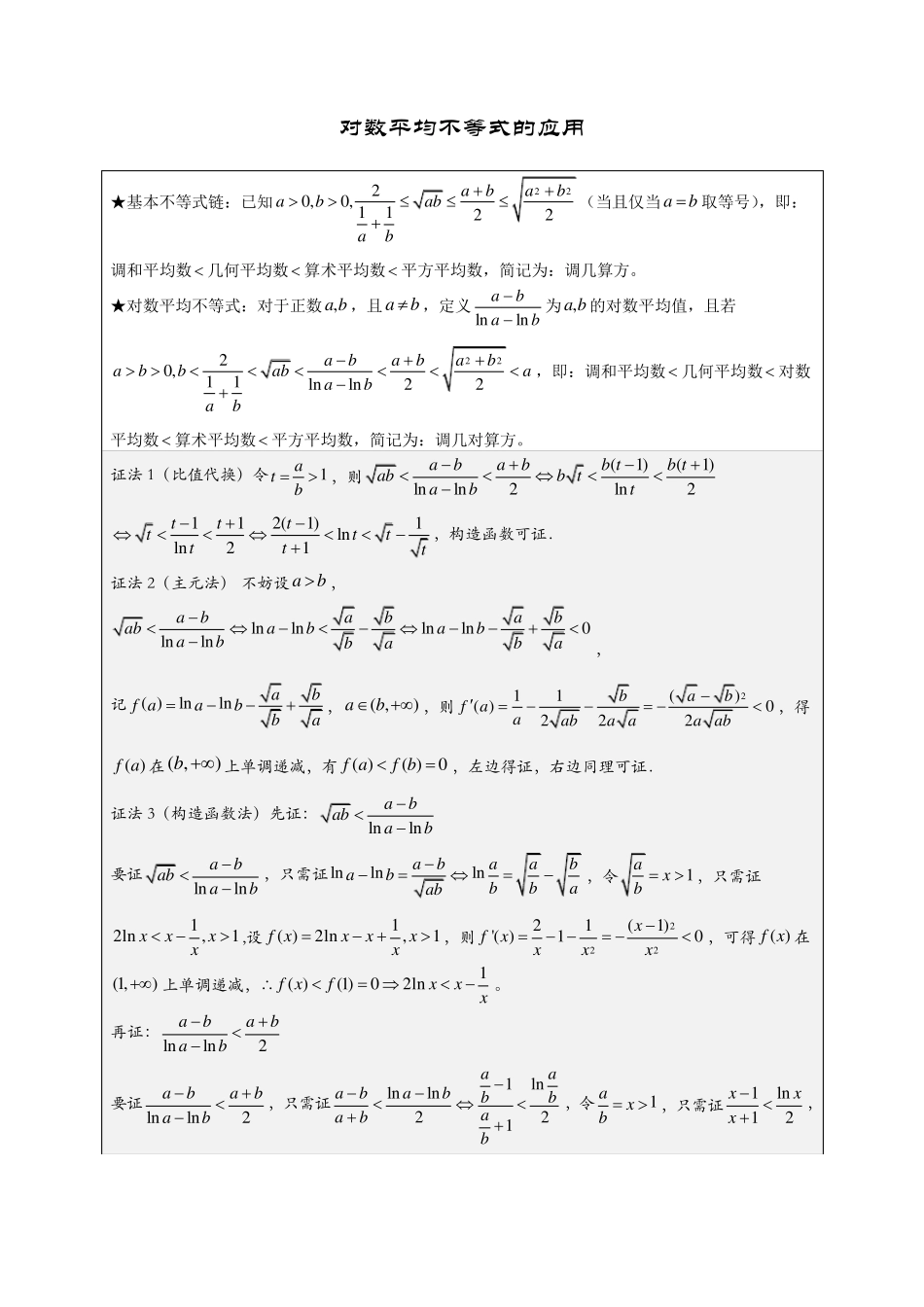
对 数 平 均 不 等 式 的 应 用 ★基本不等式链:已知2220,0, 1122ababababab(当且仅当ab取等号),即:调和平均数 几何平均数 算术平均数 平方平均数,简记为:调几算方。 ★对数平均不等式:对于正数 ,a b ,且ab,定义 lnlnabab为 ,a b 的对数平均值,且若2220,11lnln22ababababbabaabab,即:调和平均数 几何平均数 对数平均数  算术平均数 平方平均数,简记为:调几对算方。 证 法 1( 比 值 代 换 ) 令1atb , 则(1)(1)lnln2ln2ababb tb tabb tabt 112(1)1lnln21ttttttttt, 构 造 函 数 可 证 . 证 法 2( 主 元 法 ) 不 妨 设 ab,lnlnlnln0lnlnabababababababbaba, 记( )lnlnabf aabba,( ,)ab , 则211()( )0222babfaaaba aa ab , 得( )f a 在 ( ,)b  上 单 调 递 减 , 有( )( )0f af b, 左 边 得 证 , 右 边 同 理 可 证 . 证 法 3( 构 造 函 数 法 ) 先 证 :lnlnababab 要 证lnlnababab, 只 需 证 lnlnlnabaababbbaab, 令1axb  , 只 需 证12ln,1xxxx ,设1( )2ln,1f xxxxx , 则22221(1)'( )10xfxxxx  , 可 得( )f x 在(1,) 上 单 调 递 减 ,1( )(1)02lnf xfxxx。 再 证 :lnln2ababab 要 证lnln2ababab, 只 需 证1lnlnln221aaababbbaabb, 令1axb  , 只 需 证1ln12xxx ,2ln1,112x xx 。 设2ln( )1,112xg xxx , 则2221(1)'( )0(1)22 (1)xg xxxx x , 故( )g x 在(1,) 上 单 调 递 减 ,2ln( )(1)0, 112xg xgx 。 ★常见等价变形: 2()lnln(0)abababab;lnln(0)abababba 【题型 1】证明极值点偏移问题 【例 1】已知函数( )e xf xx ,如果12xx,且12()()f xf x,证明:122xx. 【 证 明 】12()()f xf x即1212xxxexe,1122lnlnxxxx, 则12121lnlnxxxx( 正 数12,x x ...

1、当您付费下载文档后,您只拥有了使用权限,并不意味着购买了版权,文档只能用于自身使用,不得用于其他商业用途(如 [转卖]进行直接盈利或[编辑后售卖]进行间接盈利)。
2、本站所有内容均由合作方或网友上传,本站不对文档的完整性、权威性及其观点立场正确性做任何保证或承诺!文档内容仅供研究参考,付费前请自行鉴别。
3、如文档内容存在违规,或者侵犯商业秘密、侵犯著作权等,请点击“违规举报”。

碎片内容

对数平均不等式的应用

小辰2+ 关注
实名认证
内容提供者

出售各种资料和文档

相关文档

确认删除?
VIP
微信客服
  • 扫码咨询
会员Q群
  • 会员专属群点击这里加入QQ群
客服邮箱
回到顶部