电脑桌面
添加小米粒文库到电脑桌面
安装后可以在桌面快捷访问

2024年上海市中考数学真题 (原卷版)

2024年上海市中考数学真题 (原卷版)_第1页
1/6
2024年上海市中考数学真题 (原卷版)_第2页
2/6
2024年上海市中考数学真题 (原卷版)_第3页
3/6
2024 年上海市初中学业水平考试数学试卷1.本场考试时间 100 分钟,试卷共 4 页,满分 150 分,答题纸共 2 页.2.作答前,请在答题纸指定位置填写姓名、报名号、座位号.井将核对后的条形码贴在答题纸指定位置.3.所有作答务必填涂或书写在答题纸上与试卷题号对应的区域,不得错位.在试卷上作答一律不得分.4.用 2B 铅笔作答选择题,用黑色字迹钢笔、水笔或圆珠笔作答非选择题.一、选择题(每题 4 分,共 24 分)1. 如果,那么下列正确的是( )A. B. C. D. 2. 函数的定义域是( )A. B. C. D. 3. 以下一元二次方程有两个相等实数根的是( )A. B. C. D. 4. 科学家同时培育了甲乙丙丁四种花,从甲乙丙丁选个开花时间最短的并且最平稳的.种类甲种类乙种类丙种类丁种类平均数2.32.32.83.1方差1.050.781.050.78A. 甲种类B. 乙种类C. 丙种类D. 丁种类5. 四边形为矩形,过作对角线的垂线,过作对角线的垂线,如果四个垂线拼成一个四边形,那这个四边形为( )A. 菱形B. 矩形C. 直角梯形D. 等腰梯形6. 在中,,,,点在内,分别以为圆心画,圆半径为 1,圆半径为 2,圆半径为 3,圆与圆内切,圆与圆的关系是( )A. 内含B. 相交C. 外切D. 相离二、填空题(每题 4 分,共 48 分)7. 计算:___________.8. 计算______.9. 已知,则___________.10. 科学家研发了一种新的蓝光唱片,一张蓝光唱片的容量约为,一张普通唱片的容量约为 25,则蓝光唱片的容量是普通唱片的___________倍.(用科学记数法表示)11. 若正比例函数的图像经过点,则 y 的值随 x 的增大而___________.(选填“增大”或“减小”)12. 在菱形中,,则___________.13. 某种商品的销售量 y(万元)与广告投入 x(万元)成一次函数关系,当投入 10 万元时销售额 1000 万元,当投入 90 万元时销售量 5000 万元,则投入 80 万元时,销售量为___________万元.14. 一个袋子中有若干个白球和绿球,它们除了颜色外都相同随机从中摸一个球,恰好摸到绿球的概率是,则袋子中至少有___________个绿球.15. 如图,在平行四边形中,E 为对角线上一点,设,,若,则___________(结果用含,的式子表示).16. 博物馆为展品准备了人工讲解、语音播报和增强三种讲解方式,博物馆共回收有效问卷张,其中人没有讲解需求,剩余人中需求情况如图所示(一人可以选择多种),那么在总共万人的参观中,需要增强...

1、当您付费下载文档后,您只拥有了使用权限,并不意味着购买了版权,文档只能用于自身使用,不得用于其他商业用途(如 [转卖]进行直接盈利或[编辑后售卖]进行间接盈利)。
2、本站所有内容均由合作方或网友上传,本站不对文档的完整性、权威性及其观点立场正确性做任何保证或承诺!文档内容仅供研究参考,付费前请自行鉴别。
3、如文档内容存在违规,或者侵犯商业秘密、侵犯著作权等,请点击“违规举报”。

碎片内容

2024年上海市中考数学真题 (原卷版)

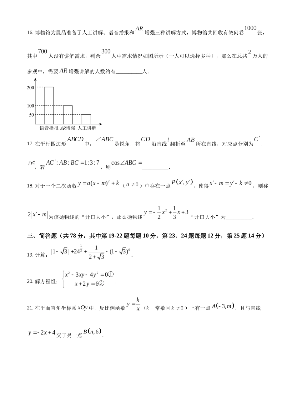
最好的沉淀+ 关注
实名认证
内容提供者

行业文档

确认删除?
VIP
微信客服
  • 扫码咨询
会员Q群
  • 会员专属群点击这里加入QQ群
客服邮箱
回到顶部