电脑桌面
添加小米粒文库到电脑桌面
安装后可以在桌面快捷访问

人教版数学七上_第三章一元一次方程复习_超全!!!VIP专享VIP免费

人教版数学七上_第三章一元一次方程复习_超全!!!_第1页
1/22
人教版数学七上_第三章一元一次方程复习_超全!!!_第2页
2/22
人教版数学七上_第三章一元一次方程复习_超全!!!_第3页
3/22
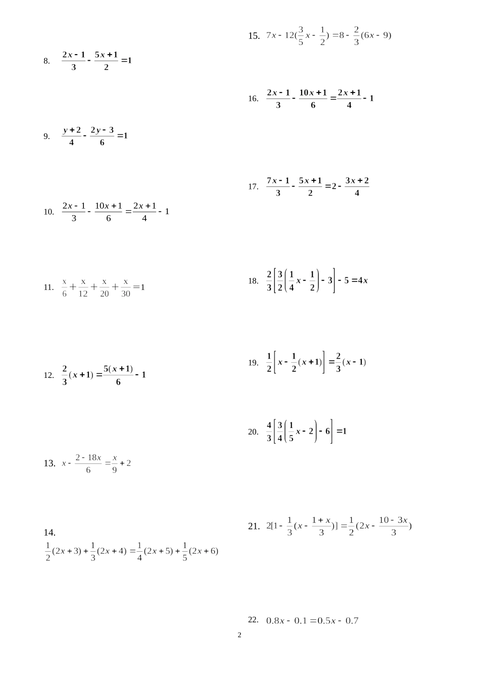
人教大版·数学·七年级上·期末复习第六单元一元一次方程●专题一:一元一次方程定义●定义一元……………………只有一个未知数一次……………………最高次数为“1”方程……………………等式选择题可能项A.X+1(不是等式)B.X+Y=1(含有2个未知数)C.1+1=2(不含有未知数)D.X2+1=3(最高次数不为1形式1)E.XY+12=34(最高次数不为1,形式2)●专题二:一元一次方程解法●一元一次方程解题思路去分母:如果乘进去后无法将分母化开的应先去分母。去分母两边同乘以分母的最小公倍数,注意是方程中的各项都得乘,而且要特别注意有括号时的处理方法。拆括号:同有理数解法与整式解法,拆括号要重点注意是否要变号。移项:整理完后开始移项,将式子化成未知数在方程一侧,常数在另一侧的形式,注意,如果移到等号另一边的时候,要记得变号。合并同类项:同有理数解法与整式解法除系数:系数化“1”,等号两边同除以系数或乘以系数的倒数。检验:基础较差的同学最好做这一步,将解出来的方程的根带入原方程,如果等号两边最后做出来答案一样的话,那就正确,否则错误。一元一次方程计算题分类Ⅰ.含有多层括号考查重点:拆括号Ⅱ.含有多个分数考查重点:去分母Ⅲ.小数作系数考查重点:方程整体扩大/小数化分数/去分母Ⅳ.百分数作系数考查重点:方程整体扩大/小数化分数/去分母Ⅴ.小数作分母考查重点:去分母/单项通分Ⅵ.繁分数考察重点:去分母Ⅶ.含有绝对值考查重点:将绝对值看作一个整体/整体思维典型例题1.2.3.4.5.6.7.1出题形式选择题:以下各项中,有哪个是一元一次方程?ABCD未知数作分母的选择题(是一元一次方程)在分数项里含有未知数,别的项必须为常数(不是一元一次方程)8.9.10.21310162141xxx11.+++=112.13.14.15.16.17.18.19.20.21.22.223.24.30%+79%(200-x)=200×54%25.26.27.28.29.30.31.=-32.33.-=34.35.36.=4337.●专题三:一元一次方程文字解答题●一元一次方程文字解答题介于计算题和应用题之间,难度中等。和计算题一样,它需要我们用心计算,但它没有式子;和应用题一样,它需要我们列式,但它的题目内容只停留在单纯的数学环境中,没有涉及到实际问题。因此,这种题型只要我们仔细一点,这种题目是一定不会失分的。解题思路解这类题目,一般有以下几个步骤:①审题,明确题目中涉及到的数字和关系量。②列式,根据题目中各数的关系及其它条件,准确列出式子③解答,仔细解答基本分类一元一次方程的文字解答题通常可以分为以下几类:第一类已知方程的解,求方程中的另一个未知数(最基本、最简单、最常考)解题方法:将方程的解代入到原式,化简求值1.已知是方程的解,求m的值.2.已知x=是方程的解,求m的值.3.若x=2是方程k(2x-1)=kx+7的解,那么求k的值变式已知方程的解,求出方程的另一个未知数后,再代入求出一个与这个未知数有关的方程或代数式解题方法:将方程的解代入原式,化简求出另一未知数,再将该未知数代入到与之相关的方程或代数式中,化简求值1.已知是方程的解,解方程.42.已知是方程的解,求关于x的方程的解.4.已知x=-8是方程3x+8=-a的解,求a2的值.5.当x=—3时,代数式的值是—7,当x为何值时,这个代数式的值是1?第二类♥(^ω^)♥已知有两个关于同一个未知数的代数式的值相等,求未知数的值解题方法:将两个代数式用等号连接,组成一个方程,解方程1.当x为何值时,代数式的值相等2.若代数式与代数式的值相等,求y的值。变式已知两个关于同一个未知数的代数式的值成一定关系,求未知数的解解题方法:找出两个代数式的值的关系,组成一个一元一次方程,解方程1.k取何值时,代数式值比的值小1。2.m为何值时,关于x的方程的解是的解的2倍?53.当m为什么值时,代数式的值比代数式的值大5?4.已知y1=,y2=.当k取何值时,y1比y2大4?第三类♥(^ω^)♥题目中含有隐含条件,求未知数解题方法:根据隐含条件列式,化简求值1.若方程的根为正整数,求满足条件的所有整数m.2.若方程与方程的解相同,求k的值变式☞☞☞☞题目中含有隐含条件,解出未知数后,求与之相关的代数式或方程解题方法:根据隐含条件列...

1、当您付费下载文档后,您只拥有了使用权限,并不意味着购买了版权,文档只能用于自身使用,不得用于其他商业用途(如 [转卖]进行直接盈利或[编辑后售卖]进行间接盈利)。
2、本站所有内容均由合作方或网友上传,本站不对文档的完整性、权威性及其观点立场正确性做任何保证或承诺!文档内容仅供研究参考,付费前请自行鉴别。
3、如文档内容存在违规,或者侵犯商业秘密、侵犯著作权等,请点击“违规举报”。

碎片内容

人教版数学七上_第三章一元一次方程复习_超全!!!

您可能关注的文档

确认删除?
VIP
微信客服
  • 扫码咨询
会员Q群
  • 会员专属群点击这里加入QQ群
客服邮箱
回到顶部