电脑桌面
添加小米粒文库到电脑桌面
安装后可以在桌面快捷访问

二次根式课件VIP免费

二次根式课件_第1页
1/10
二次根式课件_第2页
2/10
二次根式课件_第3页
3/10
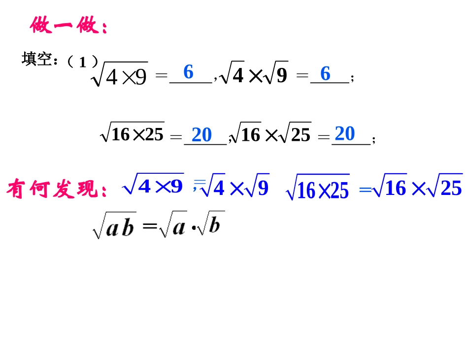
(ab)n=anbn(n为正整数)复习回顾:积的乘方(ab)n=?积的乘方的运算法则:积的乘方,等于把积的每个因式分别乘方,再把所得的幂相乘。计算:(1)(-2a)2(2)(xy2)2(3)(2×102)2解:(1)原式=(-2)2a2=4a2(2)原式=x2(y2)2=x2y4(3)原式=22×(102)2=4×104积的乘方的运算法则:积的乘方,等于把积的每个因式分别乘方,再把所得的幂相乘。=猜想2ab22ba=做一做:填空:(1)949425162516=,=;=,=;662020有何发现:49=162549,1625==语言表述积的乘方法则:积的乘方,等于各因式乘方的积。(ab)n=anbn积的乘方公式(3×4)2=32×42积的开方公式9494==积的开方法则:积的开方,等于各因式开方的积。发现规律:其中字母a、b可以是什么数?有什么限制条件吗?(a≥0,b≥0)注意公式里的条件=)9()4(4=9×观察XX)9()4(=4×9例1化简225121((11))752((22))18((33))解:解:225121==121××225==1111××((11))1515==165165((33))75==325==25××3==35((22))352==25××3==553例1化简1818==29==9××2==332二次根式化简的要求:1.根号内不再含有开得尽方的因式练习1判断下列各式是否是最简二次根式?最简二次根式.406,39)5(,128)4(,23)3(.,32)2(,12)1()(最简二次根式有.39)5(,23)3(925136.001.0222)5(33204506126327881.二次根式的性质:)0,0(.1babaab2.运用性质化简:1根号内不再含有开得尽方的因式.

1、当您付费下载文档后,您只拥有了使用权限,并不意味着购买了版权,文档只能用于自身使用,不得用于其他商业用途(如 [转卖]进行直接盈利或[编辑后售卖]进行间接盈利)。
2、本站所有内容均由合作方或网友上传,本站不对文档的完整性、权威性及其观点立场正确性做任何保证或承诺!文档内容仅供研究参考,付费前请自行鉴别。
3、如文档内容存在违规,或者侵犯商业秘密、侵犯著作权等,请点击“违规举报”。

碎片内容

二次根式课件

您可能关注的文档

百万精品文档+ 关注
实名认证
内容提供者

中小学学习资料教案课件

相关文档

确认删除?
VIP
微信客服
  • 扫码咨询
会员Q群
  • 会员专属群点击这里加入QQ群
客服邮箱
回到顶部