电脑桌面
添加小米粒文库到电脑桌面
安装后可以在桌面快捷访问

2011年全国高中数学联赛湖北省预赛试题word版含参考答案VIP专享VIP免费

2011年全国高中数学联赛湖北省预赛试题word版含参考答案_第1页
1/3
2011年全国高中数学联赛湖北省预赛试题word版含参考答案_第2页
2/3
2011年全国高中数学联赛湖北省预赛试题word版含参考答案_第3页
3/3
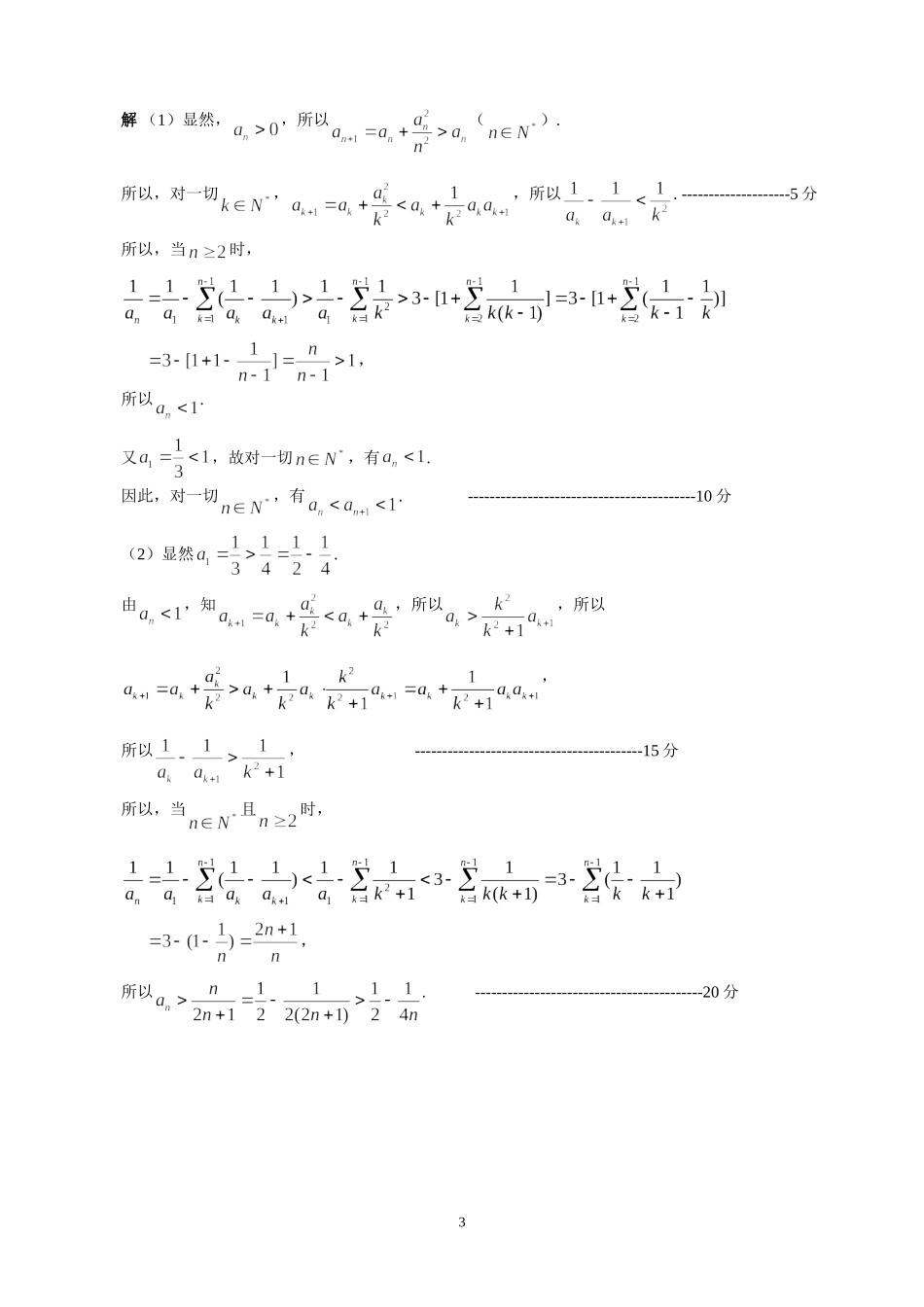
2011年全国高中数学联合竞赛湖北省预赛试题参考答案(高一年级)说明:评阅试卷时,请依据本评分标准。填空题只设8分和0分两档;解答题的评阅,只要思路合理、步骤正确,在评卷时可参考本评分标准适当划分档次评分。一、填空题(本题满分64分,每小题8分。直接将答案写在横线上。)1.计算:=5.2.设等差数列的前项和为,已知,则=____7____.3.已知P是△ABC所在平面上一点,满足,则△ABP与△ABC的面积之比为.4.=.5.满足方程()的实数对的个数为8.6.已知函数的定义域为(其中),值域为,则符合条件的数组为.7.设集合.如果方程()至少有一个根,就称该方程为合格方程,则合格方程的个数为23.8.已知关于的方程在区间上有两个不相等的实根,则实数的取值范围是.二、解答题(本大题满分56分,第9题16分,第10题20分,第11题20分)9.已知二次函数的图象过点(1,13),且函数是偶函数.(1)求的解析式;(2)函数的图象上是否存在这样的点,其横坐标是正整数,纵坐标是一个完全平方数?如果存在,求出这样的点的坐标;如果不存在,请说明理由.解(1)因为函数是偶函数,所以二次函数的对称轴方程为,故.------------------------------------------4分又因为二次函数的图象过点(1,13),所以,故.因此,的解析式为.------------------------------------------8分1(2)如果函数的图象上存在符合要求的点,设为P,其中为正整数,为自然数,则,从而,即.------------------------------------------12分注意到43是质数,且,,所以有解得因此,函数的图象上存在符合要求的点,它的坐标为(10,121).------------------------------------------16分10.已知,关于的方程有一个实根,求的最小值.解设为方程的实根,则有,即.显然.------------------------------------------5分容易证明,于是.------------------------------------------15分当且仅当且时等号成立,此时,.结合可求得或因此的最小值为8.------------------------------------------20分11.已知数列满足.证明:对一切,有(1);(2).2解(1)显然,,所以().所以,对一切,,所以.--------------------5分所以,当时,,所以.又,故对一切,有.因此,对一切,有.------------------------------------------10分(2)显然.由,知,所以,所以,所以,------------------------------------------15分所以,当且时,,所以.------------------------------------------20分3

1、当您付费下载文档后,您只拥有了使用权限,并不意味着购买了版权,文档只能用于自身使用,不得用于其他商业用途(如 [转卖]进行直接盈利或[编辑后售卖]进行间接盈利)。
2、本站所有内容均由合作方或网友上传,本站不对文档的完整性、权威性及其观点立场正确性做任何保证或承诺!文档内容仅供研究参考,付费前请自行鉴别。
3、如文档内容存在违规,或者侵犯商业秘密、侵犯著作权等,请点击“违规举报”。

碎片内容

2011年全国高中数学联赛湖北省预赛试题word版含参考答案

您可能关注的文档

确认删除?
VIP
微信客服
  • 扫码咨询
会员Q群
  • 会员专属群点击这里加入QQ群
客服邮箱
回到顶部