电脑桌面
添加小米粒文库到电脑桌面
安装后可以在桌面快捷访问

二次根式综合计算题VIP免费

二次根式综合计算题_第1页
1/6
二次根式综合计算题_第2页
2/6
二次根式综合计算题_第3页
3/6
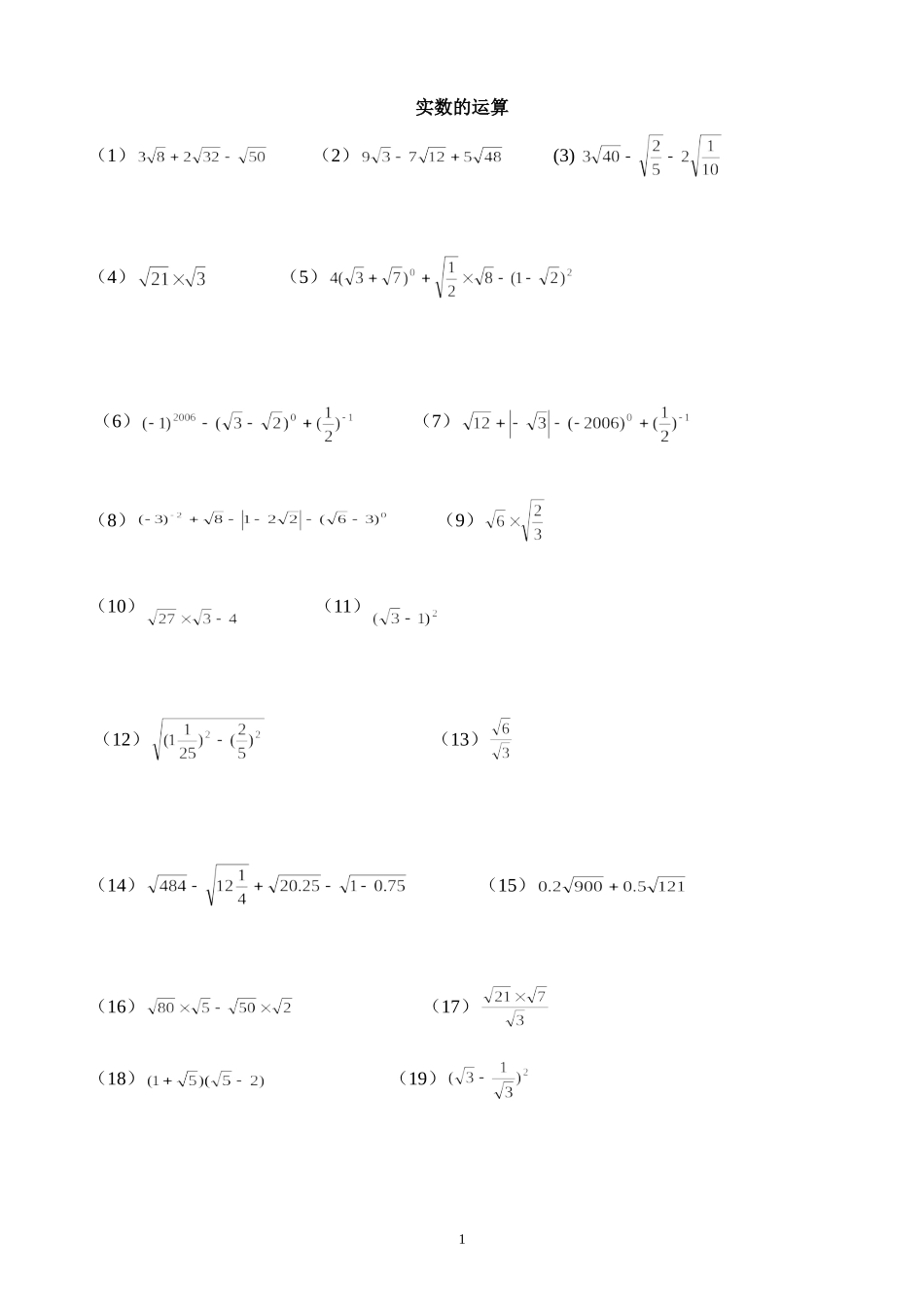
1实数的运算(1)(2)(3)(4)(5)(6)(7)(8)(9)(10)(11)(12)(13)(14)(15)(16)(17)(18)(19)2(20)(21)(22)(23)(24)(25)(26)(27)(28)(29)30、;31、32、33、.:334、;35、;36、;37、38、39、40、41、42、43、44、45、46、47、一、认认真真选(每小题3分,共30分)1.下列各式中正确的是()A.25=±5B.=-2C.±36=±6D.100=102.已知正方形的边长为a,面积为S,则()A.S=aB.a是S的算术平方根C.S的平方根是aD.a=±S3.下列说法:①任何数都有算术平方根;②一个数的算术平方根一定是正数;③a2的算术平方根是a;④(π-4)2的算术平方根是π-4;⑤算术平方根不可能是负数。其中,不正确的有()A.2个B.3个C.4个D.5个4.已知25x,则x为()A.5B.-5C.±5D.以上都不对5.当0x≤时,2x的值为()A.0B.xC.xD.x46.下列说法中正确的是()A.-4没有立方根B.1的立方根是±1C.361的立方根是61D.-5的立方根是357.若m<0,则m的立方根是()A.3mB.-3mC.±3mD.3m8.已知858.46.23,536.136.2,则00236.0的值等于()A.485.8B.15360C.0.01536D.0.048589.若81x+18x有意义,则3x的值是()A.0B.21C.81D.16110.若,且,则的值为()A.B.C.D.二、仔仔细细填(每小题3分,共30分)11.下列各数:①3.141②0.33333…③π④-32⑤0.3030003000003…(相邻两个3之间0的个数逐次增加2)⑥0.401.其中是有理数的有_________;是无理数的有__________.12.0.0036的平方根是,81的算术平方根是。13.如果一个正数的平方根是a+3与2a-15,则这个正数是______.14.已知032ba,则______)(2ba.15.-81的立方根是,125的立方根是。16.若31255,则30.000125______17.的绝对值是______。的相反数是______。|3.14-|=___________。18.大于且小于的所有整数是_______________。19.化简:=________=_______21、(1)1683(3)||+||-||22.(1)125x3=8(2)9x2-16=0(3)(-2+x)3=-216523.(1)实数a、b在数轴上的位置如图所示,则化简代数式︱a+b︱-a的结果是()A.2a+bB.2aC.aD.b(2)实数a在数轴上的位置如图所示.化简:︱a-π︱+︱-a︱1、的算术平方根是__________。2、=_____________。3、2的平方根是__________。4、实数a,b,c在数轴上的对应点如图所示化简=________________。5、若m、n互为相反数,则=_________。6、若=0,则m=________,n=_________。7、若,则a______0。8、的相反数是_________。9、=________,=_________。10、绝对值小于π的整数有_________________________。11、代数式,,,,中一定是正数的有()。A、1个B、2个C、3个D、4个12、若有意义,则x的取值范围是()。A、x>B、x≥C、x>D、x≥13、若x,y都是实数,且,则xy的值()。A、0B、C、2D、不能确定14、下列说法中,错误的是()。A、4的算术平方根是2B、的平方根是±3C、8的立方根是±2D、立方根等于-1的实数是-115、64的立方根是()。A、±4B、4C、-4D、1616、已知,则的值是()。A、B、-C、D、17、计算的值是()。A、1B、±1C、2D、718、有一个数的相反数、平方根、立方根都等于它本身,这个数是()。0cba6A、-1B、1C、0D、±119、下列命题中,正确的是()。A、无理数包括正无理数、0和负无理数B、无理数不是实数C、无理数是带根号的数D、无理数是无限不循环小数20、下列命题中,正确的是()。A、两个无理数的和是无理数B、两个无理数的积是实数C、无理数是开方开不尽的数D、两个有理数的商有可能是无理数三、解答题:(本题共6小题,每小题5分,共30分)24、若,求的值。26、若,求3x+y的值。27、若a、b、c满足,求代数式的值。

1、当您付费下载文档后,您只拥有了使用权限,并不意味着购买了版权,文档只能用于自身使用,不得用于其他商业用途(如 [转卖]进行直接盈利或[编辑后售卖]进行间接盈利)。
2、本站所有内容均由合作方或网友上传,本站不对文档的完整性、权威性及其观点立场正确性做任何保证或承诺!文档内容仅供研究参考,付费前请自行鉴别。
3、如文档内容存在违规,或者侵犯商业秘密、侵犯著作权等,请点击“违规举报”。

碎片内容

二次根式综合计算题

您可能关注的文档

百万精品文库+ 关注
实名认证
内容提供者

学习课件教案小学中学资料大全

相关文档

确认删除?
VIP
微信客服
  • 扫码咨询
会员Q群
  • 会员专属群点击这里加入QQ群
客服邮箱
回到顶部