电脑桌面
添加小米粒文库到电脑桌面
安装后可以在桌面快捷访问

二次根式复习导学案VIP免费

二次根式复习导学案_第1页
1/4
二次根式复习导学案_第2页
2/4
二次根式复习导学案_第3页
3/4
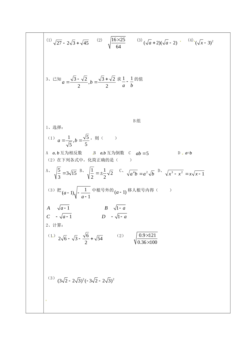
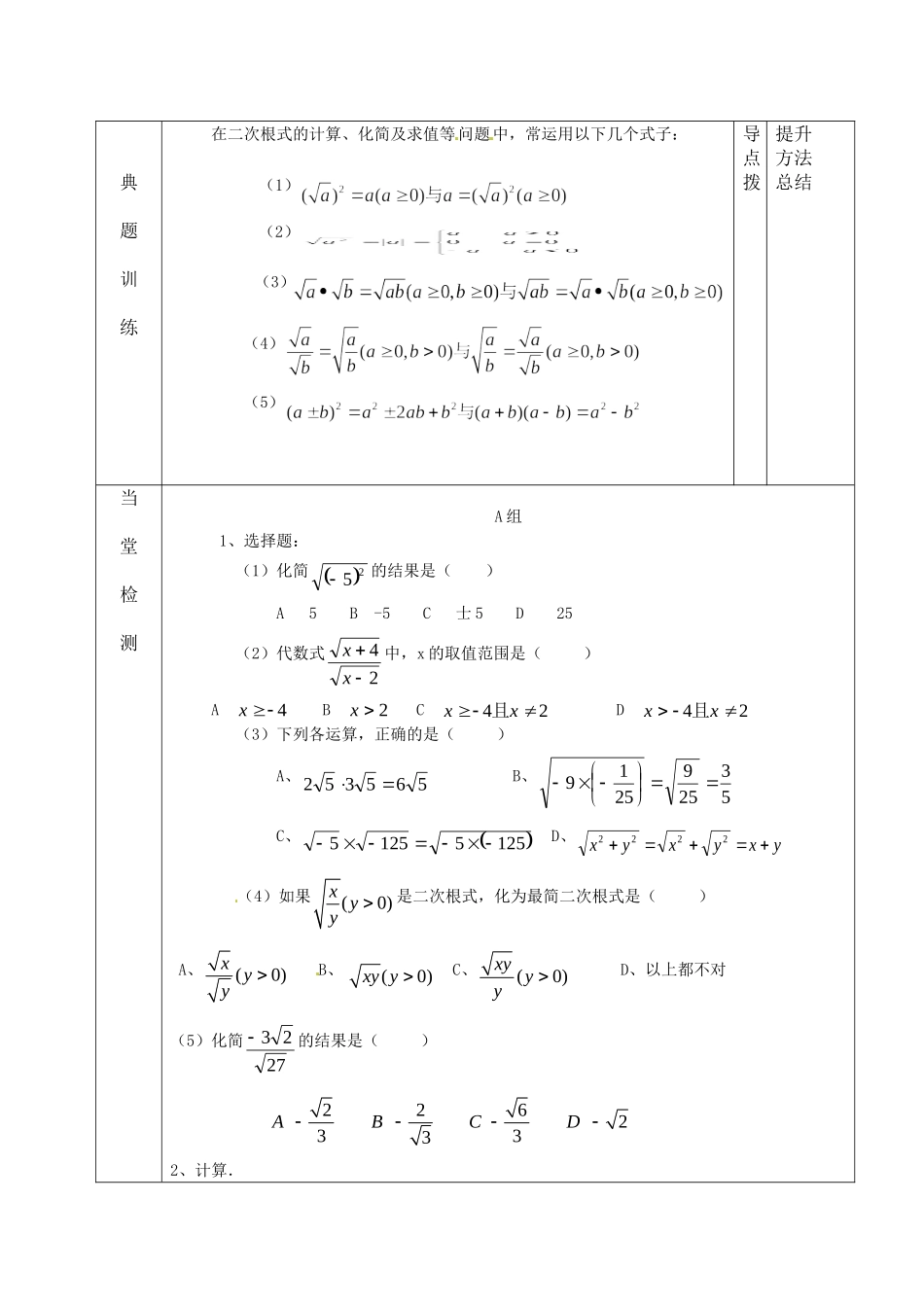
复习导学案备课时间授课时间学习目标知识目标:1、了解二次根式的定义,掌握二次根式有意义的条件和性质。2、熟练进行二次根式的乘除法运算。3、理解同类二次根式的定义,熟练进行二次根式的加减法运算。4、了解最简二次根式的定义,能运用相关性质进行化简二次根式。能力目标:通过旧知识进行探究新的知识,更好的理解和掌握新的内容,提高解决问题的能力[来源:学_科_网]情感目标:发展学生探索知识的能力.在探索中找到快乐。重点二次根式的计算和化简。难点二次根式的混合运算,正确依据相关性质化简二次根式。[来源:学科网]预习导引1.若a>0,a的平方根可表示为___________a的算术平方根可表示________2.当a______时,有意义,当a______时,没有意义。3.4.[来源:Z#xx#k.Com][来源:学*科*网]5.疑惑的问题问题导学1、式子成立的条件是什么?2、计算:(1)(2)3.(1)(2)课堂教学的方式、方法展示提升(质疑点拨)引理解典题训练在二次根式的计算、化简及求值等问题中,常运用以下几个式子:(1)(2)(3)(4)(5)导点拨提升方法总结当堂检测A组1、选择题:(1)化简25的结果是()A5B-5C士5D25(2)代数式24xx中,x的取值范围是()A4xB2xC24xx且D24xx且(3)下列各运算,正确的是()A、565352B、532592519C、12551255D、yxyxyx2222(4)如果(0)xyy是二次根式,化为最简二次根式是()A、(0)xyyB、(0)xyyC、(0)xyyyD、以上都不对(5)化简2723的结果是()2262333ABCD2、计算.(1)453227(2)162564(3)(2)(2)aa(4)2(3)x3、已知223,223ba求ba11的值B组1、选择:(1)55,51ba,则()Aa,b互为相反数Ba,b互为倒数C5abDa=b(2)在下列各式中,化简正确的是()A、15335B、22121C、baba24D、123xxxx(3)把1(1)1aa中根号外的(1)a移人根号内得()1111AaBaCaDa2、计算:(1)5426362(2)0.91210.36100(3)22(3223)(3223)3、归纳与猜想:观察下列各式及其验证过程:223322,333388(1)按上述两个等式及其验证过程的基本思路,猜想1544的变化结果并进行验证.(2)针对上述各式反映的规律,写出n(n为任意自然数,且n≥2)表示的等式并进行验证.作业教知学识反小思结

1、当您付费下载文档后,您只拥有了使用权限,并不意味着购买了版权,文档只能用于自身使用,不得用于其他商业用途(如 [转卖]进行直接盈利或[编辑后售卖]进行间接盈利)。
2、本站所有内容均由合作方或网友上传,本站不对文档的完整性、权威性及其观点立场正确性做任何保证或承诺!文档内容仅供研究参考,付费前请自行鉴别。
3、如文档内容存在违规,或者侵犯商业秘密、侵犯著作权等,请点击“违规举报”。

碎片内容

二次根式复习导学案

您可能关注的文档

百万精品文档+ 关注
实名认证
内容提供者

中小学学习资料教案课件

相关文档

确认删除?
VIP
微信客服
  • 扫码咨询
会员Q群
  • 会员专属群点击这里加入QQ群
客服邮箱
回到顶部