电脑桌面
添加小米粒文库到电脑桌面
安装后可以在桌面快捷访问

高中数学:1.4.3正切函数的性质与图象 教案 1 新人教A版必修4VIP免费

高中数学:1.4.3正切函数的性质与图象 教案 1 新人教A版必修4_第1页
1/5
高中数学:1.4.3正切函数的性质与图象 教案 1 新人教A版必修4_第2页
2/5
高中数学:1.4.3正切函数的性质与图象 教案 1 新人教A版必修4_第3页
3/5
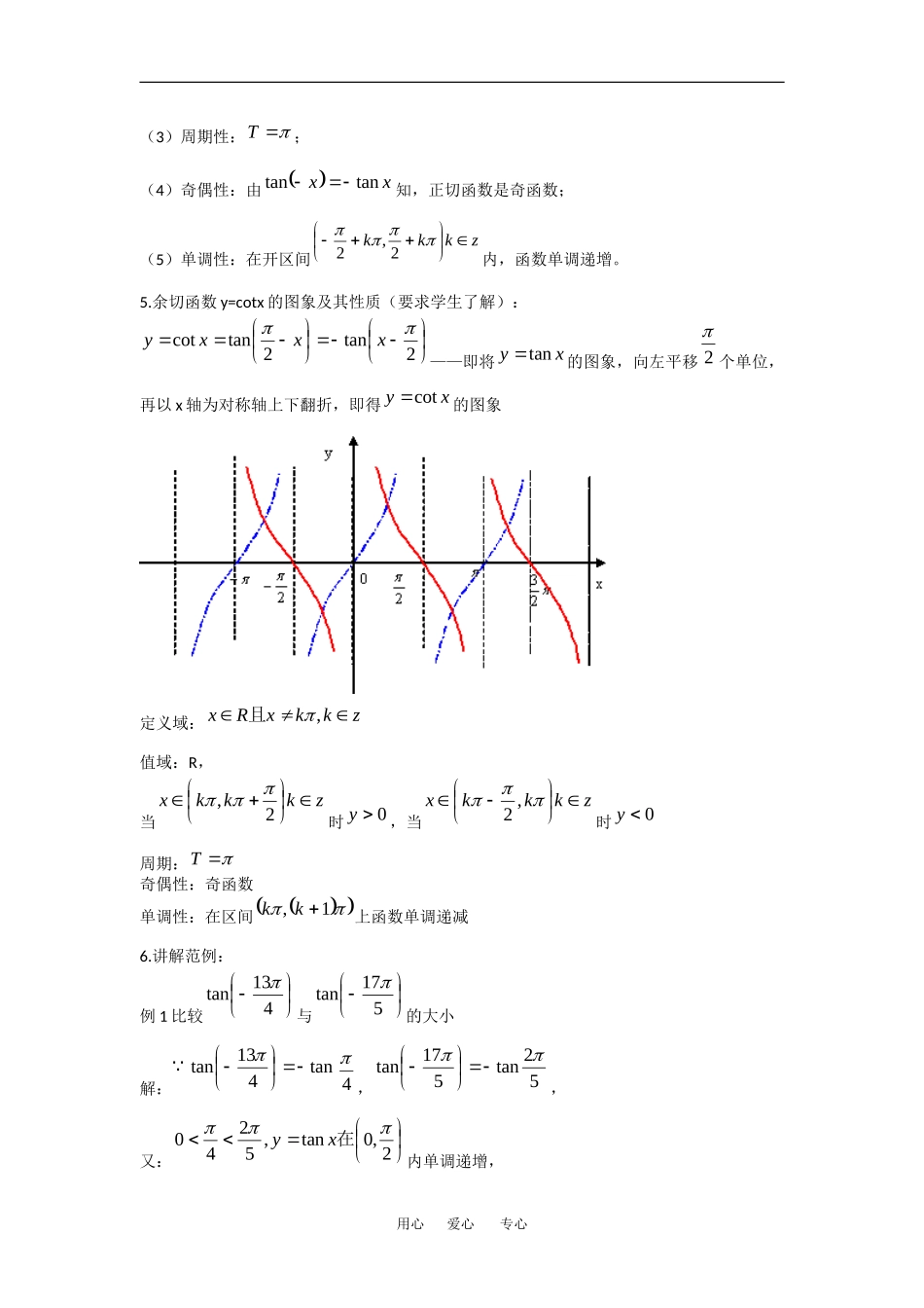
三角函数4-1.4.3正切函数的性质与图象(1)教学目的:知识目标:1.用单位圆中的正切线作正切函数的图象;2.用正切函数图象解决函数有关的性质;能力目标:1.理解并掌握作正切函数图象的方法;2.理解用函数图象解决有关性质问题的方法;德育目标:培养认真学习的精神;教学重点:用单位圆中的正切线作正切函数图象;教学难点:正切函数的性质。授课类型:新授课教学模式:启发、诱导发现教学.教具:多媒体、实物投影仪教学过程:一、复习引入:问题:正弦曲线是怎样画的?正切线?练习正切线,画出下列各角的正切线:.下面我们来作正切函数和余切函数的图象.二、讲解新课:1.正切函数tanyx的定义域是什么?zkkxx,2|2.正切函数是不是周期函数?tantan,,2xxxRxkkz且,∴是tan,,2yxxRxkkz且的一个周期。是不是正切函数的最小正周期?下面作出正切函数图象来判断。3.作tanyx,x2,2的图象用心爱心专心说明:(1)正切函数的最小正周期不能比小,正切函数的最小正周期是;(2)根据正切函数的周期性,把上述图象向左、右扩展,得到正切函数Rxxytan,且zkkx2的图象,称“正切曲线”。(3)由图象可以看出,正切曲线是由被相互平行的直线2xkkZ所隔开的无穷多支曲线组成的。4.正切函数的性质引导学生观察,共同获得:(1)定义域:zkkxx,2|;(2)值域:R观察:当x从小于zkk2,2kx时,tanx当x从大于zkk2,kx2时,xtan。用心爱心专心0yx(3)周期性:T;(4)奇偶性:由xxtantan知,正切函数是奇函数;(5)单调性:在开区间zkkk2,2内,函数单调递增。5.余切函数y=cotx的图象及其性质(要求学生了解):2tan2tancotxxxy——即将xytan的图象,向左平移2个单位,再以x轴为对称轴上下翻折,即得xycot的图象定义域:zkkxRx,且值域:R,当zkkkx2,时0y,当zkkkx,2时0y周期:T奇偶性:奇函数单调性:在区间1,kk上函数单调递减6.讲解范例:例1比较413tan与517tan的大小解:tan413tan4,52tan517tan,又:2,0tan,5240在xy内单调递增,用心爱心专心517tan413tan,52tan4tan,52tan4tan即例2讨论函数4tanxy的性质略解:定义域:zkkxRxx,4|且值域:R奇偶性:非奇非偶函数单调性:在4,43kk上是增函数图象:可看作是xytan的图象向左平移4单位例3求函数y=tan2x的定义域解:由2x≠kπ+2,(k∈Z)得x≠2k+4,(k∈Z)∴y=tan2x的定义域为:{x|x∈R且x≠2k+4,k∈Z}例4观察正切曲线写出满足下列条件的x的值的范围:tanx>0解:画出y=tanx在(-2,2)上的图象,不难看出在此区间上满足tanx>0的x的范围为:0<x<2结合周期性,可知在x∈R,且x≠kπ+2上满足的x的取值范围为(kπ,kπ+2)(k∈Z)例5不通过求值,比较tan135°与tan138°的大小解: 90°<135°<138°<270°又 y=tanx在x∈(90°,270°)上是增函数∴tan135°<tan138°三、巩固与练习P.71.练习2,3,6求函数y=tan2x的定义域、值域和周期、并作出它在区间[-π,π]内的图象用心爱心专心解:(1)要使函数y=tan2x有意义,必须且只须2x≠2+kπ,k∈Z即x≠4+2k,k∈Z∴函数y=tan2x的定义域为{x∈R|,x≠24k,k∈Z}(2)设t=2x,由x≠24k,k∈Z}知t≠2+kπ,k∈Z∴y=tant的值域为(-∞,+∞)即y=tan2x的值域为(-∞,+∞)(3)由tan2(x+2)=tan(2x+π)=tan2x∴y=tan2x的周期...

1、当您付费下载文档后,您只拥有了使用权限,并不意味着购买了版权,文档只能用于自身使用,不得用于其他商业用途(如 [转卖]进行直接盈利或[编辑后售卖]进行间接盈利)。
2、本站所有内容均由合作方或网友上传,本站不对文档的完整性、权威性及其观点立场正确性做任何保证或承诺!文档内容仅供研究参考,付费前请自行鉴别。
3、如文档内容存在违规,或者侵犯商业秘密、侵犯著作权等,请点击“违规举报”。

碎片内容

高中数学:1.4.3正切函数的性质与图象 教案 1 新人教A版必修4

您可能关注的文档

;绿洲书城+ 关注
实名认证
内容提供者

从事历史教学,热爱教育,高度负责。

确认删除?
VIP
微信客服
  • 扫码咨询
会员Q群
  • 会员专属群点击这里加入QQ群
客服邮箱
回到顶部