电脑桌面
添加小米粒文库到电脑桌面
安装后可以在桌面快捷访问

中考数学重要公式全归纳VIP免费

中考数学重要公式全归纳_第1页
1/14
中考数学重要公式全归纳_第2页
2/14
中考数学重要公式全归纳_第3页
3/14
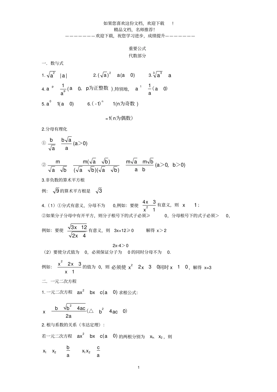
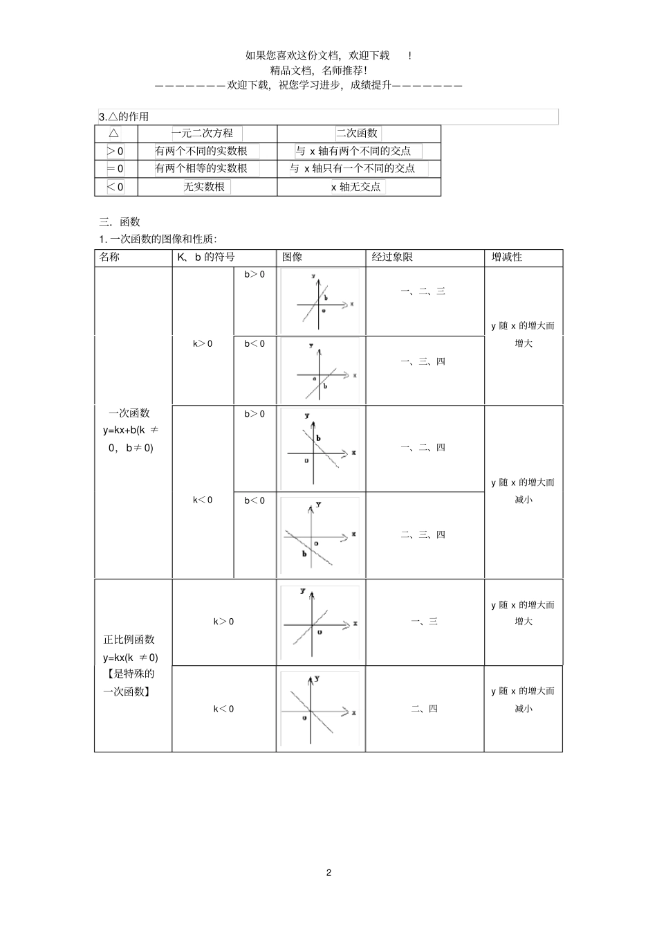
如果您喜欢这份文档,欢迎下载!精品文档,名师推荐!———————欢迎下载,祝您学习进步,成绩提升———————1重要公式代数部分一.数与式1.|a|a22.)0()(2aaa3.aa334.)0(1为正整数,paaapp,特别地,)(011aaa5.)0(10aa6.)(11-为奇数)(nn=为偶数)(n12.分母有理化①)0(>aaabab②)00())(()(>,>bababmambababambam3.非负数的算术平方根例:9的算术平方根是34.(1)①分式有意义,分母不为0,例如:要使1342xx有意义,则1x;②如果分子分母中有开平方,则分子根号下的式子必须≥0,分母根号下的式子必须>0,例如:要使42123xx有意义,则3x+12≥0解得x>22x-4>0(2)要使分式值为0,必须保证分子为0的同时分母不为0.例如:1322xxx的值为0,则010322xxx同时必须使,解得x=3二.一元二次方程1.一元二次方程)0(2acbxax求根公式:)(△042422acbaacbbx2.根与系数的关系(韦达定理):若一元二次方程)0(2acbxax的两根分别为21xx、,则abxx21acxx21如果您喜欢这份文档,欢迎下载!精品文档,名师推荐!———————欢迎下载,祝您学习进步,成绩提升———————23.△的作用△一元二次方程二次函数>0有两个不同的实数根与x轴有两个不同的交点=0有两个相等的实数根与x轴只有一个不同的交点<0无实数根x轴无交点三.函数1.一次函数的图像和性质:名称K、b的符号图像经过象限增减性一次函数y=kx+b(k≠0,b≠0)k>0b>0一、二、三y随x的增大而增大b<0一、三、四k<0b>0一、二、四y随x的增大而减小b<0二、三、四正比例函数y=kx(k≠0)【是特殊的一次函数】k>0一、三y随x的增大而增大k<0二、四y随x的增大而减小如果您喜欢这份文档,欢迎下载!精品文档,名师推荐!———————欢迎下载,祝您学习进步,成绩提升———————32.(1)反比例函数的图像和性质反比例函数)0(kxkyk的符号k>0k<0图像性质①x的取值范围是x0,y的取值范围是y0;②当k>0时,函数图象的两个分支分别在第一、三象限。在每个象限内,y随x的增大而减小.①x的取值范围是x0,y的取值范围是y0;②当k<0时,函数图象的两个分支分别在第二、四象限。在每个象限内,y随x的增大而增大.对称性①)0(kxky的图象是轴对称图形,对称轴为)0(>kxy或)0(<kxy②)0(kxky的图象是中心对称图形,对称中心为原点(0,0);③xkyxky和(k≠0)在同一坐标系中的图象关于x轴对称,也关于y轴对称.(2)反比例函数中反比例系数的几何意义①过双曲线xky(k≠0)上任意一点作x轴、y轴的垂线段,所得矩形(如图)面积为k.②过双曲线xky(k≠0)上任意一点作任一坐标轴的垂线段,连接该点和原点,所得三角形(如图)的面积为2k.③双曲线xky(k≠0)同一支上任意两点1P、2P与原点组成的三角形(如图)的面积=直角梯形1221PPQQ的面积.如果您喜欢这份文档,欢迎下载!精品文档,名师推荐!———————欢迎下载,祝您学习进步,成绩提升———————4(3)正比例函数如果与反比例函数相交,交点坐标关于原点对称.(即:若正比例函数y=1kx与反比例函数y=xk2相交于A(1x,1y),B(2x,2y)两点,则点A与点B关于原点对称.3.二次函数的图像和性质(1)顶点式)0()(2akhxay的图像和性质a的符号图像特征函数性质开口向上,图像有最低点(顶点),顶点(h,k);当x=h时,函数有最小值k.是轴对称图形;对称轴是直线x=h;在对称轴的左边,图像从左至右呈下降趋势;当x<h时,y随x增大而减小;在对称轴的右边,图像从左至右呈上升趋势;当x>h时,y随x增大而增大;开口向下,图像有最高点(顶点),顶点(h,k);当x=h时,函数有最大值k.是轴对称图形;对称轴是直线x=h;在对称轴的左边,图像从左至右呈上升趋势;当x<h时,y随x增大而增大;在对称轴的右边,图像从左至右呈下降趋势;当x>h时,y随x增大而减小.可知抛物线)0()(2akhxay【00>,>kh】可由2axy向右平移h个单位,再向上平移k个单位得到.平移规律:左加右减,上加下减.(2)一般式)0(2acbxaxy的图像和性质a的符号图像特征函数性质开口向上,图像有最低点(顶点),顶点(a2b-,a4bac42);当x=a2b-时,函数有最小值a4bac42.是轴对称图形;对称轴是直线x=a2b-;在对称轴的左边,图像从左至右呈...

1、当您付费下载文档后,您只拥有了使用权限,并不意味着购买了版权,文档只能用于自身使用,不得用于其他商业用途(如 [转卖]进行直接盈利或[编辑后售卖]进行间接盈利)。
2、本站所有内容均由合作方或网友上传,本站不对文档的完整性、权威性及其观点立场正确性做任何保证或承诺!文档内容仅供研究参考,付费前请自行鉴别。
3、如文档内容存在违规,或者侵犯商业秘密、侵犯著作权等,请点击“违规举报”。

碎片内容

中考数学重要公式全归纳

文库响当当+ 关注
实名认证
内容提供者

该用户很懒,什么也没介绍

相关文档

确认删除?
VIP
微信客服
  • 扫码咨询
会员Q群
  • 会员专属群点击这里加入QQ群
客服邮箱
回到顶部