电脑桌面
添加小米粒文库到电脑桌面
安装后可以在桌面快捷访问

陕西2019年中考数学复习考点跟踪突破5分式方程VIP免费

陕西2019年中考数学复习考点跟踪突破5分式方程_第1页
1/3
陕西2019年中考数学复习考点跟踪突破5分式方程_第2页
2/3
陕西2019年中考数学复习考点跟踪突破5分式方程_第3页
3/3
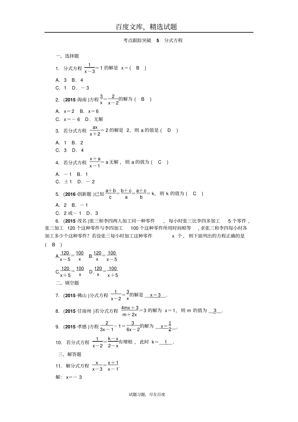
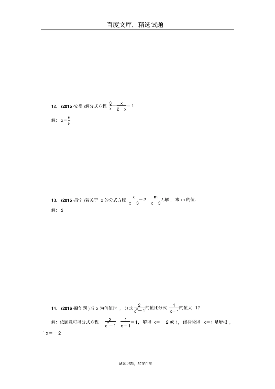
百度文库,精选试题试题习题,尽在百度考点跟踪突破5分式方程一、选择题1.分式方程1x-3=1的解是x=(B)A.3B.4C.1D.-32.(2015·海南)方程3x=2x-2的解为(B)A.x=2B.x=6C.x=-6D.无解3.若分式方程axx+2=2的解是2,则a的值是(D)A.1B.2C.3D.44.若分式方程x+ax-1=a无解,则a的值为(C)A.-1B.1C.±1D.-25.(2016·创新题)已知a+bc=b+ca=a+cb=k,则k的值为(C)A.2B.-1C.2或-1D.36.(2015·茂名)张三和李四两人加工同一种零件,每小时张三比李四多加工5个零件,张三加工120个这种零件与李四加工100个这种零件所用时间相等,求张三和李四每小时各加工多少个这种零件?若设张三每小时加工这种零件x个,则下面列出的方程正确的是(B)A.120x-5=100xB.120x=100x-5C.120x+5=100xD.120x=100x+5二、填空题7.(2015·佛山)分式方程1x-2=3x的解是__x=3__.8.(2015·甘南州)若分式方程4mx+3m+2x=3的解为x=1,则m的值为__3__.9.(2015·孝感)方程23x-1-1=36x-2的解为__x=12__.10.若分式方程1x-2=k-x2-x有增根,此时k=__1__.三、解答题11.解分式方程xx-3=x+1x-1.解:x=-3百度文库,精选试题试题习题,尽在百度12.(2015·安岳)解分式方程3x-x2-x=1.解:x=6513.(2015·昌宁)若关于x的分式方程xx-3-2=mx-3无解,求m的值.解:314.(2016·原创题)当x为何值时,分式2x2-1的值比分式1x-1的值大1?解:依题意可得分式方程2x2-1-1x-1=1,解得x=-2或1,经检验得x=1是增根,∴x=-2百度文库,精选试题试题习题,尽在百度15.如果分式方程x-mx-3=m4(3-x)有增根,求m的值.解:416.(2015·扬州)扬州建城2500年之际,为了继续美化城市,计划在路旁栽树1200棵,由于志愿者的参加,实际每天栽树的棵数比原计划多20%,结果提前2天完成,求原计划每天栽树多少棵?解:设原计划每天栽树x棵,则实际每天栽树的棵数为(1+20%)x,由题意得,1200x-1200(1+20%)x=2,解得x=100,经检验,x=100是原分式方程的解,且符合题意.答:原计划每天栽树100棵

1、当您付费下载文档后,您只拥有了使用权限,并不意味着购买了版权,文档只能用于自身使用,不得用于其他商业用途(如 [转卖]进行直接盈利或[编辑后售卖]进行间接盈利)。
2、本站所有内容均由合作方或网友上传,本站不对文档的完整性、权威性及其观点立场正确性做任何保证或承诺!文档内容仅供研究参考,付费前请自行鉴别。
3、如文档内容存在违规,或者侵犯商业秘密、侵犯著作权等,请点击“违规举报”。

碎片内容

陕西2019年中考数学复习考点跟踪突破5分式方程

您可能关注的文档

爱的疯狂+ 关注
实名认证
内容提供者

该用户很懒,什么也没介绍

确认删除?
VIP
微信客服
  • 扫码咨询
会员Q群
  • 会员专属群点击这里加入QQ群
客服邮箱
回到顶部