电脑桌面
添加小米粒文库到电脑桌面
安装后可以在桌面快捷访问

正弦定理、余弦定理、面积公式练习题VIP免费

正弦定理、余弦定理、面积公式练习题_第1页
1/3
正弦定理、余弦定理、面积公式练习题_第2页
2/3
正弦定理、余弦定理、面积公式练习题_第3页
3/3
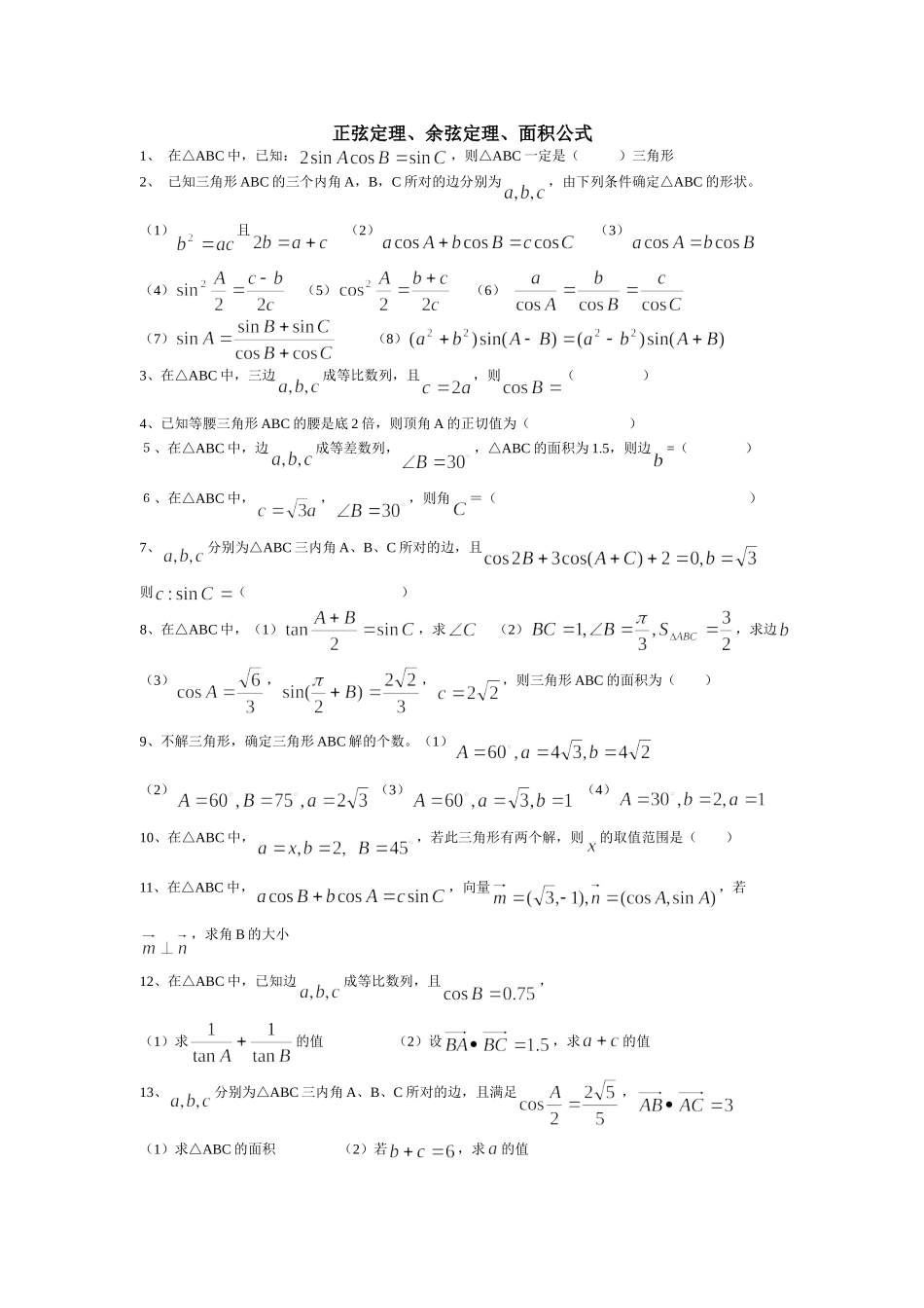
正弦定理、余弦定理、面积公式1、在△ABC中,已知:,则△ABC一定是()三角形2、已知三角形ABC的三个内角A,B,C所对的边分别为,由下列条件确定△ABC的形状。(1)且(2)(3)(4)(5)(6)(7)(8)3、在△ABC中,三边成等比数列,且,则()4、已知等腰三角形ABC的腰是底2倍,则顶角A的正切值为()5、在△ABC中,边成等差数列,,△ABC的面积为1.5,则边=()6、在△ABC中,,,则角=()7、分别为△ABC三内角A、B、C所对的边,且则()8、在△ABC中,(1),求(2),求边(3),,,则三角形ABC的面积为()9、不解三角形,确定三角形ABC解的个数。(1)(2)(3)(4)10、在△ABC中,,若此三角形有两个解,则的取值范围是()11、在△ABC中,,向量,若,求角B的大小12、在△ABC中,已知边成等比数列,且,(1)求的值(2)设,求的值13、分别为△ABC三内角A、B、C所对的边,且满足,(1)求△ABC的面积(2)若,求的值14、在△ABC中,已知:,求三个内角A、B、C15、已知向量,定义函数(1)求函数的表达式,并指出其最大值和最小值(2)在锐角三角形ABC中,角A、B、C的对边分别为,且,求△ABC面积16、在△ABC中,角A、B、C的对边分别为,已知:(1)若,求的值(2)若,求△ABC面积的最大值17、在斜三角形ABC中,角A、B、C的对边分别为,且(1)求角A(2)若,求角C的取值范围18、在三角形ABC中,角A、B、C的对边分别为,且,(1)求角A(2)若向量,,求的最小值19、在△ABC中,已知:AC=2,BC=3,,(1)求的值(2)求的值20、在△ABC中,已知:,(1)求的值(2)若△ABC的面积为4,AB=2,求BC的长21、在△ABC中,,(1)求角B(2)若,求△ABC的面积22、在△ABC中,,求边23、在△ABC中,,(1)求(2)设AC=,求△ABC的面积24、在△ABC中,,(1)求(2)求△ABC的面积25、锐角三角形ABC中,,(1)求角(2)求的取值范围26、已知△ABC三个顶点的坐标为A(3,4),B(0,0),C(,0),(1)求当时,的值(2)若角A为钝角,求边的取值范围27、在△ABC中,已知内角,设内角B=,周长为(1)求函数的解析式(2)求的最大值28、在△ABC中,内角A、B、C所对的边分别为(1)若成等差数列,求角B的取值范围(2)若△ABC为锐角三角形,B=2A,求的取值范围29、已知△ABC中,内角A、B、C所对的边分别为,若,且(1)求角A(2)若,,求△ABC的面积S

1、当您付费下载文档后,您只拥有了使用权限,并不意味着购买了版权,文档只能用于自身使用,不得用于其他商业用途(如 [转卖]进行直接盈利或[编辑后售卖]进行间接盈利)。
2、本站所有内容均由合作方或网友上传,本站不对文档的完整性、权威性及其观点立场正确性做任何保证或承诺!文档内容仅供研究参考,付费前请自行鉴别。
3、如文档内容存在违规,或者侵犯商业秘密、侵犯著作权等,请点击“违规举报”。

碎片内容

正弦定理、余弦定理、面积公式练习题

您可能关注的文档

百万精品文档+ 关注
实名认证
内容提供者

中小学学习资料教案课件

相关文档

确认删除?
VIP
微信客服
  • 扫码咨询
会员Q群
  • 会员专属群点击这里加入QQ群
客服邮箱
回到顶部