电脑桌面
添加小米粒文库到电脑桌面
安装后可以在桌面快捷访问

中考数学计算题VIP免费

中考数学计算题_第1页
1/16
中考数学计算题_第2页
2/16
中考数学计算题_第3页
3/16
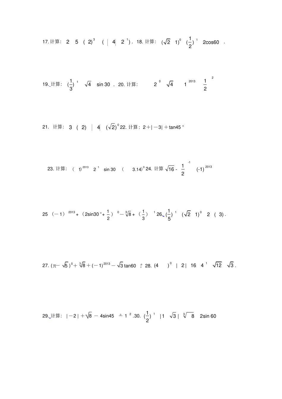
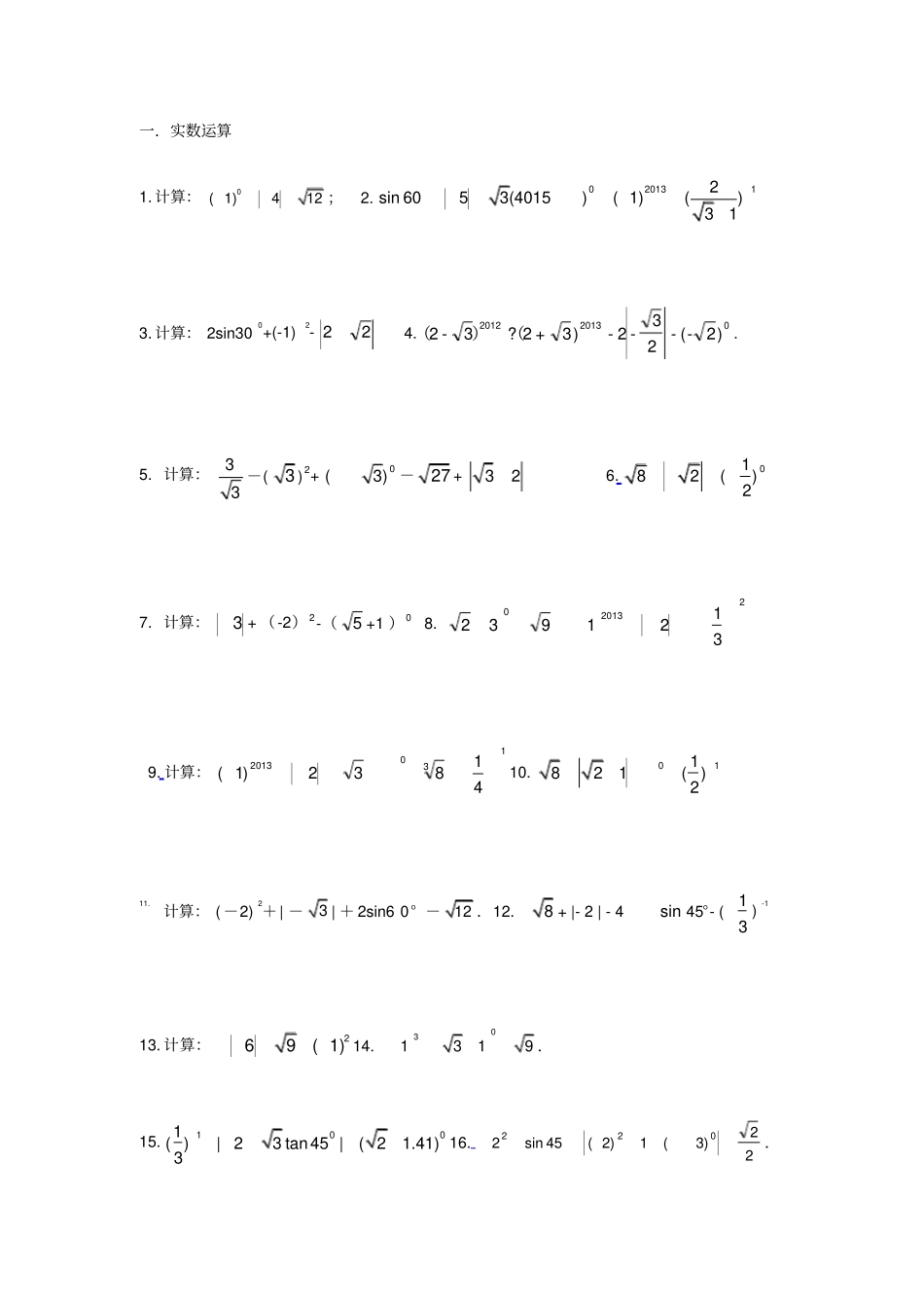
一.实数运算1.计算:0(1)412;2.0201312sin6053(4015)(1)()313.计算:2sin300+(-1)2-224.020132012)2(232)3+2?32-----()(.5.计算:33-(3)2+0(3)-27+326.0182()27.计算:3+(-2)2-(5+1)08.22013031219329.计算:130201341832)1(10.011821()211.计算:(-2)2+|-3|+2sin60°-12.12.8+|-2|-4sin45°-(31)-113.计算:269(1)14.031319.15.1001()|23tan45|(21.41)316.22)3(1)2(45sin2022.17.计算:)24()2(5213.18.计算:011(21)()2cos602.19.计算:30sin4)31(1.20.计算:2020131241221.计算:0)2(4)2(322.计算:2+|-3|+tan45°23.计算:01201314.330sin21)()(24.计算2013-1(-1)21-1625(-1)2013+(2sin30°+21)0-38+(31)126.101()(21)2(3)5.27.(π-5)0+38+(-1)2013-3tan60°;28.01(4)|2|164123.29.计算:|-2|+8-4sin45°-12.30.60sin28|31|)21(3131.(π-3.14)0+(12)-1+|-22|-8。32.03)2013(830tan3333.计算:01)3(8)41(45cos2.1.(-2)2+|-3|+2sin60°-12.2.计算:(一20)×(一12)+9+2000.3.10)41(45cos22)31(4.计算:212182sin45;5.计算:3221)13(3101.6.计算:10382cos60(2)π7.计算:20920.1;8.计算:3422(75)9.计算:102sin60+2201313sin30°-2-1+021111..12.计算:|-8|+(13)-1-4sin45°-(2013-2012)0.13.计算:.14.计算:10120138|32|2cos452.15.计算:01112(20132)()2sin60316.计算:)2013(60tan223)31(27218.计算:20135(1)2sin3025.二.因式分解类1.因式分解:24xyx=.2.分解因式:(a+2)(a-2)+3a=_________.3.分解因式:aabab442=________4.因式分解:2442xyxy=。5.分解因式:x2-9=________7.分解因式:2x2-4x=.8.分解因式a3-ab2=.9.分解因式:32288aaa=_________________。10.分解因式:2a2﹣8=.11.分解因式:2m3-8m=.12.分解因式:92x=.13.分解因式:4x2-8x+4=.14.分解因式:x2y﹣4y=.16.分解因式:22mm=.17.因式分解:ab2﹣a=.18.分解因式:x2﹣4=.20.因式分解:xx3643=____________21.分解因式:a2-2a=.22.分解因式:223axaxa______。1.分解因式:x2y-y=2.分解因式:-3x2+2x-31=.3.因式分解:m3-4m=_________________.4.分解因式:5x2-20=______________.5.分解因式:a2b-4b2=.6.分解因式:xyx2_______________.7.分解因式x2-4=.8.分解因式:22xx_______________9.因式分解:x2-9y2=10.因式分解:x2+2x+1=11.分解因式:3a2-12ab+12b2=__________.12.因式分解:m2-5m=.13.因式分解:21a=_____________.14.分解因式4x-x3=______________________.15.分解因式:24x=.16.分解因式92x=.17.因式分解:a2+2a+1=.19.因式分解2xx=_______.20.分解因式:ab2-4a=.22.分解因式:x2-4(x-1)=_________.23.分解因式:24x=.24.分解因式:x2-64=________.25.因式分解:21x=.26.分解因式:am2-4an2=.28.分解因式:x2-9=______.29.因式分解:mx2-my2.二化简或化简求值12.化简:2(3)(4)aaa.化简:2121()aaaaa1.先化简,再求值:2(2)(1)(1)aaa,其中34a2.先化简,再求值:(a-b)2+a(2b-a).其中a=-21,b=3.3.化简:(1+a)(1-a)+a(a-3)3.(1)计算:|﹣4|﹣+(﹣2)0;4.先化简,再求值:33()()(48)2xyxyxyxyxy,其中31,3xy6.化简:2)1)(1(xxx1.化简:(a-b)2+a(2b-a).8.先化简,再求值:(1+a)(1-a)+a(a-2),其中a=212.已知0142xx,求代数式22))(()32(yyxyxx的值.化简:a(b+1)﹣ab﹣1.8.化简:(a2-a)÷2211aaa.1.先化简,再求值:221x+2x+1-1x-1x-1,其中x=2-12.先化简,再求值:235(2)362mmmmm,其中m是方程x2+3x-1=0的根.3.先化简,再求值:22441(1)11xxxxxx,其中x满足x2+x-2=0.4.先化简,再求值:yxyyxx22,其中321x,321y.5.先化简,再求值:12244222xxxxxx,在0,1,2,三个数中选一个合适的,代入求值.6.化简求值:ababababababa12252962222,其中a,b满足42baba。7.先化简,再求值:444)212(2xxxxxxx,其中x是不等式173x的负整数解.9.先化简,再求值:(1-m1)÷12122mmm,其中m=2.13.化简:21244422xxxxxxx化简:21312aaa14.先化简,再...

1、当您付费下载文档后,您只拥有了使用权限,并不意味着购买了版权,文档只能用于自身使用,不得用于其他商业用途(如 [转卖]进行直接盈利或[编辑后售卖]进行间接盈利)。
2、本站所有内容均由合作方或网友上传,本站不对文档的完整性、权威性及其观点立场正确性做任何保证或承诺!文档内容仅供研究参考,付费前请自行鉴别。
3、如文档内容存在违规,或者侵犯商业秘密、侵犯著作权等,请点击“违规举报”。

碎片内容

中考数学计算题

您可能关注的文档

确认删除?
VIP
微信客服
  • 扫码咨询
会员Q群
  • 会员专属群点击这里加入QQ群
客服邮箱
回到顶部