电脑桌面
添加小米粒文库到电脑桌面
安装后可以在桌面快捷访问

人教A版高中数学必修五年高中学业水平考试复习题---VIP免费

人教A版高中数学必修五年高中学业水平考试复习题---_第1页
1/5
人教A版高中数学必修五年高中学业水平考试复习题---_第2页
2/5
人教A版高中数学必修五年高中学业水平考试复习题---_第3页
3/5
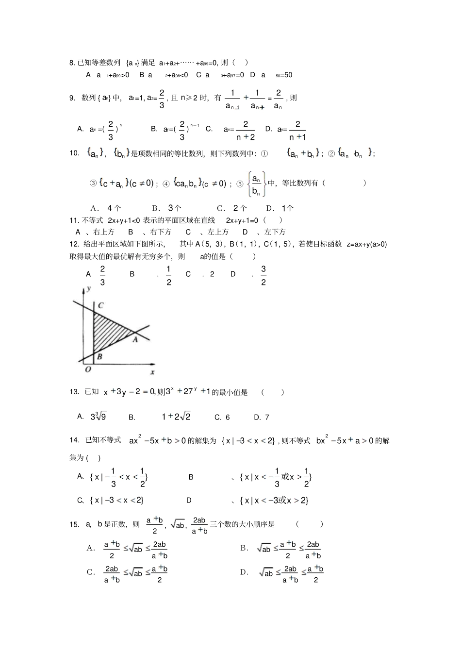
高中数学学习材料(灿若寒星精心整理制作)山东省2009年高中学业水平考试复习题---必修5一、选择题1.在△ABC中,角,AB均为锐角,且cossinAB,则△ABC的形状是()A.直角三角形B.锐角三角形C.钝角三角形D.等腰三角形2.在△ABC中,若Babsin2,则A等于()A.006030或B.006045或C.0060120或D.0015030或3.边长为5,7,8的三角形的最大角与最小角的和是()A.090B.0120C.0135D.01504.在△ABC中,∠A=60°,a=6,b=4,那么满足条件的△ABC()A、有一个解B、有两个解C、无解D、不能确定5.在200米高的山顶上,测得山下一塔顶与塔底的俯角分别为30、60,则塔高为()A.m3400B.m33400C.m3200D.m332006.海上A,B两个小岛相距10海里,从A岛望C岛和B岛成60°的视角,从B岛望C岛和A岛成75°的视角,则B,C间的距离是()A310海里B3610海里C25海里D65海里7.在{an}中,a1=15,3an+1=3an-2(n∈N*),则该数列中相邻两项的乘积为负数的项是A.a21和a22B.a22和a23C.a23和a24D.a24和a258.已知等差数列{an}满足a1+a2+⋯⋯+a99=0,则()Aa1+a99>0Ba2+a98<0Ca3+a97=0Da50=509.数列{an}中,a1=1,a2=32,且n≥2时,有1111nnaa=na2,则A.an=(32)nB.an=(32)n-1C.an=22nD.an=12n10.na,nb是项数相同的等比数列,则下列数列中:①nnab;②nnba;③(0)ncac;④nnbca(c)0;⑤nnab中,等比数列有()A.4个B.3个C.2个D.1个11.不等式2x+y+1<0表示的平面区域在直线2x+y+1=0()A、右上方B、右下方C、左上方D、左下方12.给出平面区域如下图所示,其中A(5,3),B(1,1),C(1,5),若使目标函数z=ax+y(a>0)取得最大值的最优解有无穷多个,则a的值是()A.32B.21C.2D.2313.已知1273,023yxyx则的最小值是()A.393B.221C.6D.714.已知不等式250axxb的解集为{|32}xx,则不等式250bxxa的解集为()A、11{|}32xxB、11{|}32xxx或C、{|32}xxD、{|32}xxx或15.a,b是正数,则2,,2abababab三个数的大小顺序是()A.22ababababB.22ababababC.22ababababD.22abababab二、填空题16.在△ABC中,若aCBb则,135,30,200_________17.在△ABC中,若sinA∶sinB∶sinC7∶8∶13,则C_____________18.△ABC中,a、b分别是角A和角B所对的边,a=3,b=1,B为30°,则角A的值为______.19.在等比数列{}na中,已知3a=9,6a=243,则5a=________.20.在等比数列na中,311289aa,则7a.三、解答题21.△ABC的三个内角A、B、C对边分别是a,b,c,且tantan3tantan3ABAB,72c,又△ABC的面积为332ABCS.求:(1)角C;(2)a+b的值.22.(本小题满分10分)在等差数列{an}中,a1=-60,a17=-12.(1)求通项an;(2)求前n项和nS的最小值.(3)求此数列前30项的绝对值的和.23.已知数列{}na的各项均为正数,且前n项之和nS满足2632nnnSaa,求数列的通项公式.24.已知x、y满足不等式10303yyxyx,求z=3x+y的最大值与最小值。25.在海岸A处,发现北偏东45方向,距离A为)13(nmile的B处有一艘走私船,在A处北偏西75方向,距离A为2nmile的C处有一艘缉私艇奉命以310nmile/h的速度追截走私船,此时,走私船正以10nmile/h的速度从B处向北偏东30方向逃窜,问缉私艇沿什么方向行驶才能最快追上走私船?并求出所需时间。学业水平考试复习题---必修5参考答案一、选择题1—5CDBCA6—10DCCDB11—15DBDBC二、填空题16.2617.012018.60°;19.81.20.17三、解答题21.(1)由已知:BtanAtanBtanAtan136012031CBABtanAtanBtanAtanBAtan(2)6323232121abbaCsinbaS又2162272222222baCcosabbac47322ba2110041212222bab,aabbaba又22.解:(1)a17=a1+16d,即-12=-60+16d,∴d=3.∴an=-60+3(n-1)=3n-63.(2)6302120SS(3)由an≤0,则3n-63≤0n≤21.∴|a1|+|a2|+⋯+|a30|=-(a1+a2+⋯+a21)+(a22+a23+⋯+a30)=(3+6+9+⋯+60)+(3+6+⋯+27)=2)603(×20+2)273(×9=765.23.32nan.24.最大值3X4-1=-11,最小值3X(-4)-1=-1325.设缉私艇追上走私船需t小时,则BD=10t,CD=310t∵∠BAC=45°+75°=120°∴在△ABC中,由余弦定理得6120cos2)13(22)13(cos222222BACACABACABBC即6BC=由正弦定理得226120sin2BCBACsinBDABCsin∴∠ABC=45°,∴∠CBD=120°在△BCD中,由正弦定理得21310120in10CDsinBDBCDsintstCBD∴∠BCD=30°,∴∠BDC=30°∴6BCBD,即610t∴106t(小时)答:缉私艇沿北偏东60°方向行驶才能最快追上走私船,这需106小时。

1、当您付费下载文档后,您只拥有了使用权限,并不意味着购买了版权,文档只能用于自身使用,不得用于其他商业用途(如 [转卖]进行直接盈利或[编辑后售卖]进行间接盈利)。
2、本站所有内容均由合作方或网友上传,本站不对文档的完整性、权威性及其观点立场正确性做任何保证或承诺!文档内容仅供研究参考,付费前请自行鉴别。
3、如文档内容存在违规,或者侵犯商业秘密、侵犯著作权等,请点击“违规举报”。

碎片内容

人教A版高中数学必修五年高中学业水平考试复习题---

爱的疯狂+ 关注
实名认证
内容提供者

该用户很懒,什么也没介绍

确认删除?
VIP
微信客服
  • 扫码咨询
会员Q群
  • 会员专属群点击这里加入QQ群
客服邮箱
回到顶部