电脑桌面
添加小米粒文库到电脑桌面
安装后可以在桌面快捷访问

人教B版高中数学必修一百题大战VIP免费

人教B版高中数学必修一百题大战_第1页
1/32
人教B版高中数学必修一百题大战_第2页
2/32
人教B版高中数学必修一百题大战_第3页
3/32
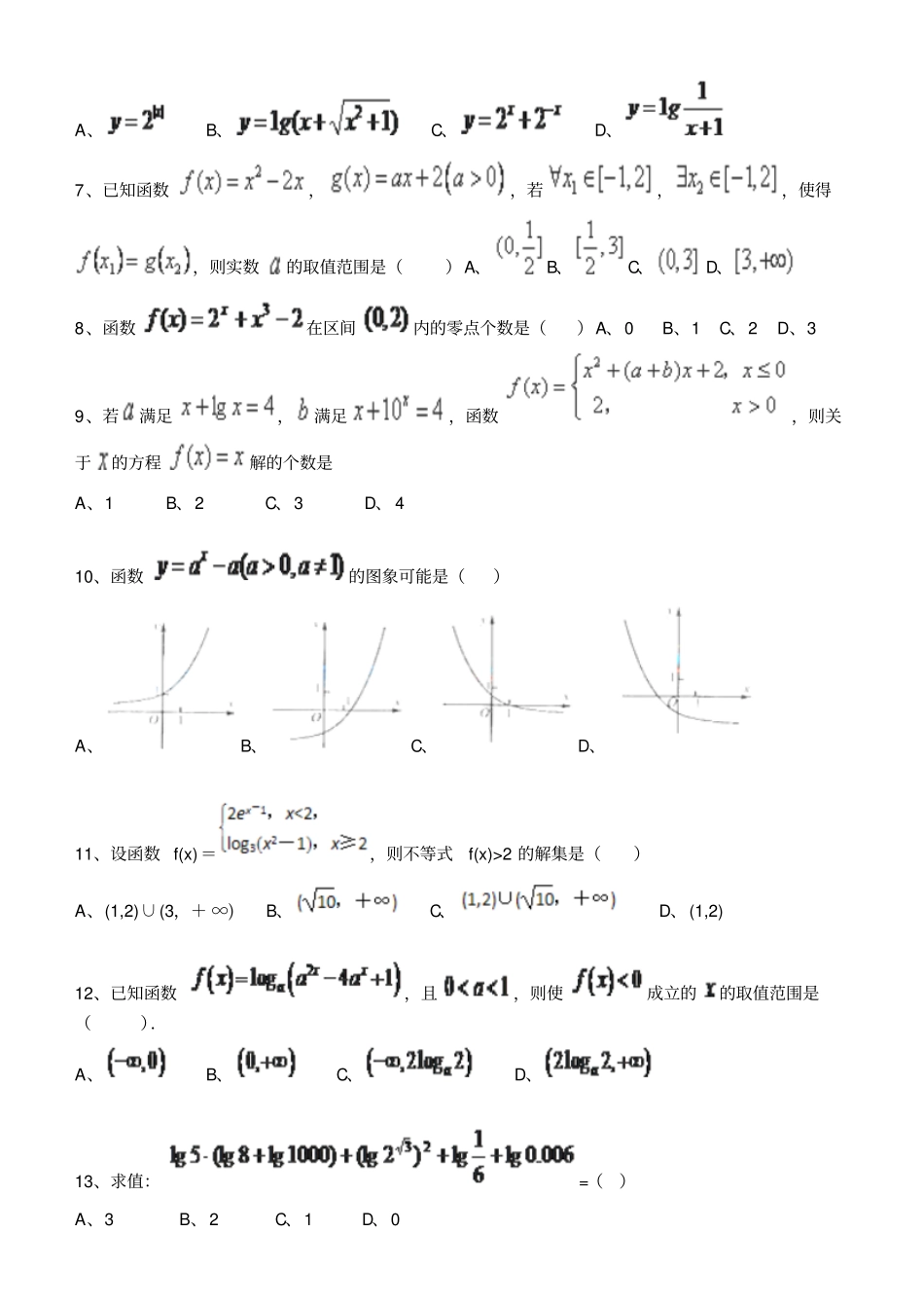
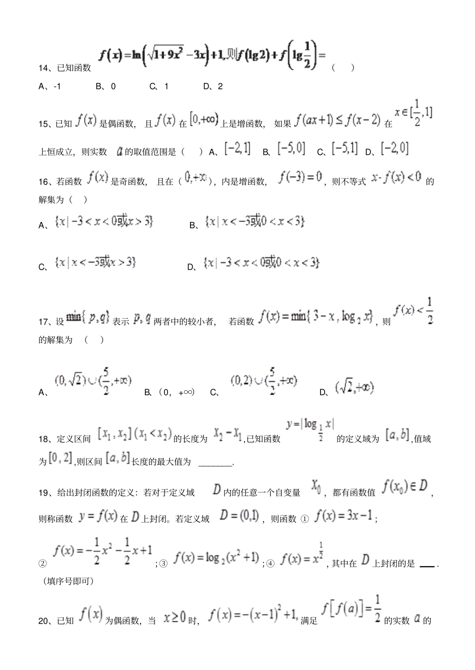
高中数学学习材料(灿若寒星精心整理制作)1、设为实数,且满足:,,则()A、2014B、1002C、4026D、40282、已知函数是R上的增函数,则的取值范围是()A、B、C、D、3、已知f(x)是奇函数,g(x)是偶函数,且f(-1)+g(1)=2,f(1)+g(-1)=4,则g(1)等于()A、4B、3C、2D、14、已知是定义在上的偶函数,且在区间上是增函数,设,则的大小关系是()A、B、C、D、5、奇函数满足对任意都有且则的值为()A、6B、7C、8D、06、下列函数中既不是奇函数也不是偶函数的是()A、B、C、D、7、已知函数,,若,,使得,则实数的取值范围是()A、B、C、D、8、函数在区间内的零点个数是()A、0B、1C、2D、39、若满足,满足,函数,则关于的方程解的个数是A、1B、2C、3D、410、函数的图象可能是()A、B、C、D、11、设函数f(x)=,则不等式f(x)>2的解集是()A、(1,2)∪(3,+∞)B、C、D、(1,2)12、已知函数,且,则使成立的的取值范围是().A、B、C、D、13、求值:=()A、3B、2C、1D、014、已知函数()A、-1B、0C、1D、215、已知是偶函数,且在上是增函数,如果在上恒成立,则实数的取值范围是()A、B、C、D、16、若函数是奇函数,且在(),内是增函数,,则不等式的解集为()A、B、C、D、17、设表示两者中的较小者,若函数,则的解集为()A、B、(0,+∞)C、D、18、定义区间的长度为,已知函数的定义域为,值域为,则区间长度的最大值为_______.19、给出封闭函数的定义:若对于定义域内的任意一个自变量,都有函数值,则称函数在上封闭。若定义域,则函数①;②;③;④,其中在上封闭的是.(填序号即可)20、已知为偶函数,当时,满足的实数的个数为____________.21、如果函数y=b与函数的图象恰好有三个交点,则b=.22、已知函数的定义域为,值域为,则函数的一个可能的解析式是_________________________。23、若函数的值域和定义域均为,则=_______。24、若函数的定义域为,则实数的取值范围是.25、函数的定义域为26、已知定义域为R的偶函数在区间上是增函数,若,则实数的取值范围是____________.27、下列5个判断:①若在上增函数,则;②函数只有两个零点;③函数的值域是;④函数的最小值是1;⑤在同一坐标系中函数与的图像关于轴对称。其中正确命题的序号是。28、设表示不超过的最大整数,如.若函数(),则的值域为__________.29、已知,则的值等于.30、已知函数设表示中的较大值,表示中的较小值,记得最小值为的最大值为,则31、已知函数是定义在上的奇函数,且当时,,则=.32、若是偶函数,则____________.33、若函数f(x)=ax-x-a(a>0,且a≠1)有两个零点,则实数a的取值范围是______________.34、已知函数,若对任意的,不等式恒成立,则实数的取值范围为35、对于实数a,b,定义运算:设,且关于x的方程恰有三个互不相等的实数根,则的取值范围是___________36、已知函数,若存在实数,满足,其中,则的取值范围是.37、由方程所确定的的函数关系记为,给出如下结论:(1)是R上的单调递增函数;(2)的图象关于直线对称;(3)对于任意,恒成立.其中正确的结论为__________________(写出所有正确结论的序号).38、已知在上的奇函数,当时,,则其解析式.39、若函数()在上的最大值为23,求a的值40、已知奇函数是定义在(3,3)上的减函数,且满足不等式,求的取值范围.41、已知的最大值为M,最小值为m,求M-m的值.42、某商场销售某种商品的经验表明,该商品每日的销售量(单位:千克)与销售价格(单位:元/千克)满足关系式,其中,为常数.已知销售价格为5元/千克时,每日可售出该商品11千克.(1)求的值;(2)若该商品的成本为3元/千克,试确定销售价格的值,使商场每日销售该商品所获得的利润最大.43、已知是定义在[—1,1]上的奇函数,且,若、,且时有(1)判断在[—1,1]上的单调性,并证明你的结论;(2)解不等式:;(3)若≤对所有x∈[—1,1],∈[—1,1]恒成立,求实数t的取值范围.44、定义在R上的函数f(x)满足对任意x,y∈R有f(x+y)=f(x)+f(y)﹣1,且当x<0时,f(x)<1.(I)证明f(x)在R上是增函数;(II)若f(3)=4,求函数f(x...

1、当您付费下载文档后,您只拥有了使用权限,并不意味着购买了版权,文档只能用于自身使用,不得用于其他商业用途(如 [转卖]进行直接盈利或[编辑后售卖]进行间接盈利)。
2、本站所有内容均由合作方或网友上传,本站不对文档的完整性、权威性及其观点立场正确性做任何保证或承诺!文档内容仅供研究参考,付费前请自行鉴别。
3、如文档内容存在违规,或者侵犯商业秘密、侵犯著作权等,请点击“违规举报”。

碎片内容

人教B版高中数学必修一百题大战

您可能关注的文档

爱的疯狂+ 关注
实名认证
内容提供者

该用户很懒,什么也没介绍

确认删除?
VIP
微信客服
  • 扫码咨询
会员Q群
  • 会员专属群点击这里加入QQ群
客服邮箱
回到顶部