电脑桌面
添加小米粒文库到电脑桌面
安装后可以在桌面快捷访问

人教版八年级数学上册分式化简求值一无答案VIP免费

人教版八年级数学上册分式化简求值一无答案_第1页
1/6
人教版八年级数学上册分式化简求值一无答案_第2页
2/6
人教版八年级数学上册分式化简求值一无答案_第3页
3/6
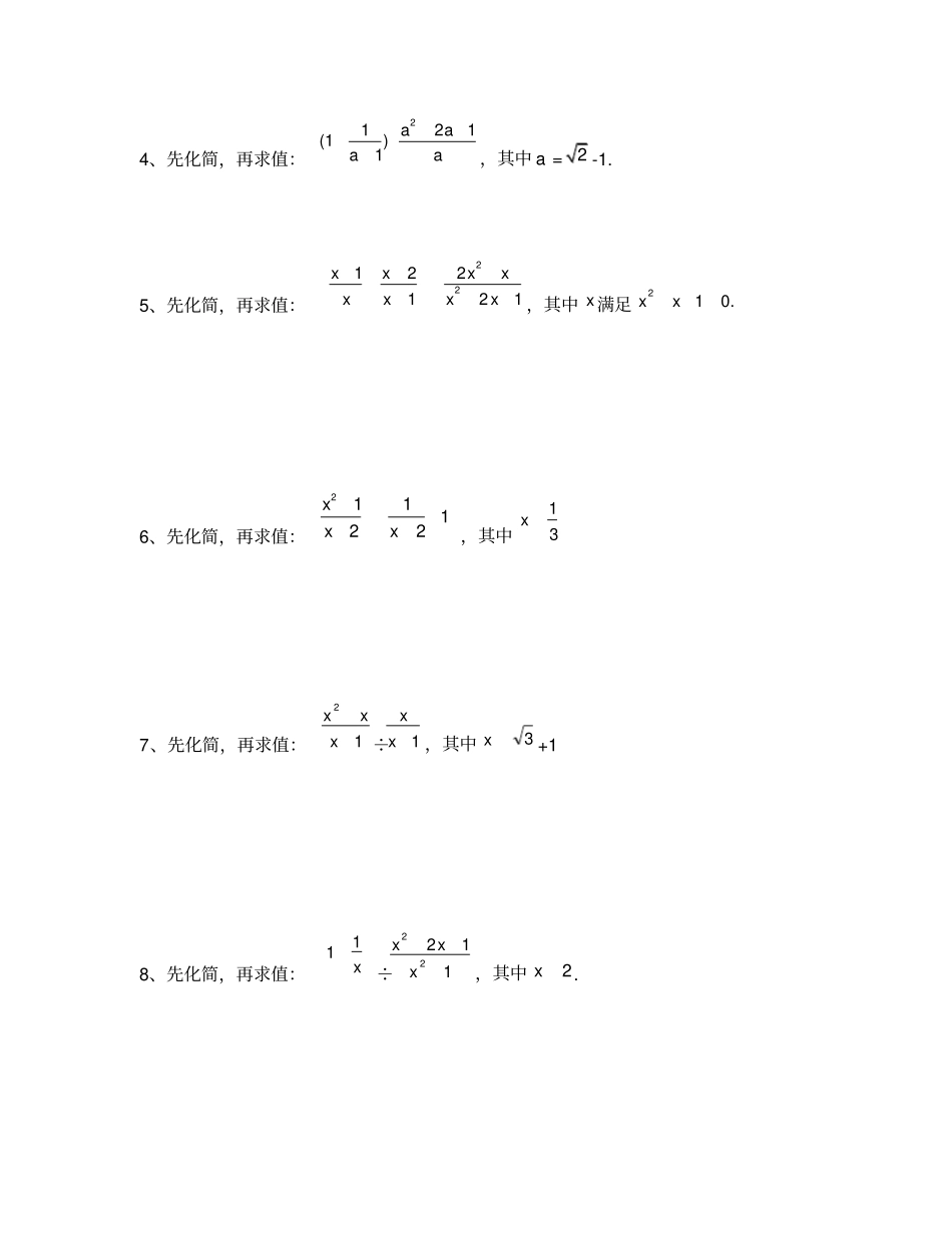
初中数学试卷灿若寒星整理制作1、先化简,再求值:22226951222aabbbabaababa,其中a,b满足42.abab,2、先化简,再求值:2234221121xxxxxx,其中x是不等式组40251xx的整数解.3、先化简,再求值:)xx1x2(x1)x1(22其中x=24、先化简,再求值:2121(1)1aaaa,其中a=2-1.5、先化简,再求值:22122121xxxxxxxx,其中x满足210.xx6、先化简,再求值:211122xxx,其中13x7、先化简,再求值:12xxx÷1xx,其中x3+18、先化简,再求值:11x÷11222xxx,其中2x.9、先化简,再求值:xxxxx2444222,其中1x.10、先化简,再求值:xxxxxxx112122,其中21x11、先化简,再求值:22121124xxxx,其中3x12、先化简再求值:222222322abbbaaabbabab,其中5,2.ab13、先化简,再求值:22()ababbaaa,其中a、b满足式子2|2|(3)0.ab14、先化简,再求值:2444aaaa,其中32.a15、先化简,再求值:)2(11)111(2xxx,其中6x16、化简并求值:22112()xyxyxyxy,其中x、y满足∣x-2∣+223xy()=0.17、先化简,再求值:22113()24xxxxx,其中x=418、先化简,然后a在﹣1、1、2三个数中任选一个合适的数代入求值.19、2111121xxxxxx,其中2x.

1、当您付费下载文档后,您只拥有了使用权限,并不意味着购买了版权,文档只能用于自身使用,不得用于其他商业用途(如 [转卖]进行直接盈利或[编辑后售卖]进行间接盈利)。
2、本站所有内容均由合作方或网友上传,本站不对文档的完整性、权威性及其观点立场正确性做任何保证或承诺!文档内容仅供研究参考,付费前请自行鉴别。
3、如文档内容存在违规,或者侵犯商业秘密、侵犯著作权等,请点击“违规举报”。

碎片内容

人教版八年级数学上册分式化简求值一无答案

爱的疯狂+ 关注
实名认证
内容提供者

该用户很懒,什么也没介绍

相关文档

确认删除?
VIP
微信客服
  • 扫码咨询
会员Q群
  • 会员专属群点击这里加入QQ群
客服邮箱
回到顶部