电脑桌面
添加小米粒文库到电脑桌面
安装后可以在桌面快捷访问

人教版初二数学上册1分式的乘除导学案1方式的乘除-导学案VIP免费

人教版初二数学上册1分式的乘除导学案1方式的乘除-导学案_第1页
1/3
人教版初二数学上册1分式的乘除导学案1方式的乘除-导学案_第2页
2/3
人教版初二数学上册1分式的乘除导学案1方式的乘除-导学案_第3页
3/3
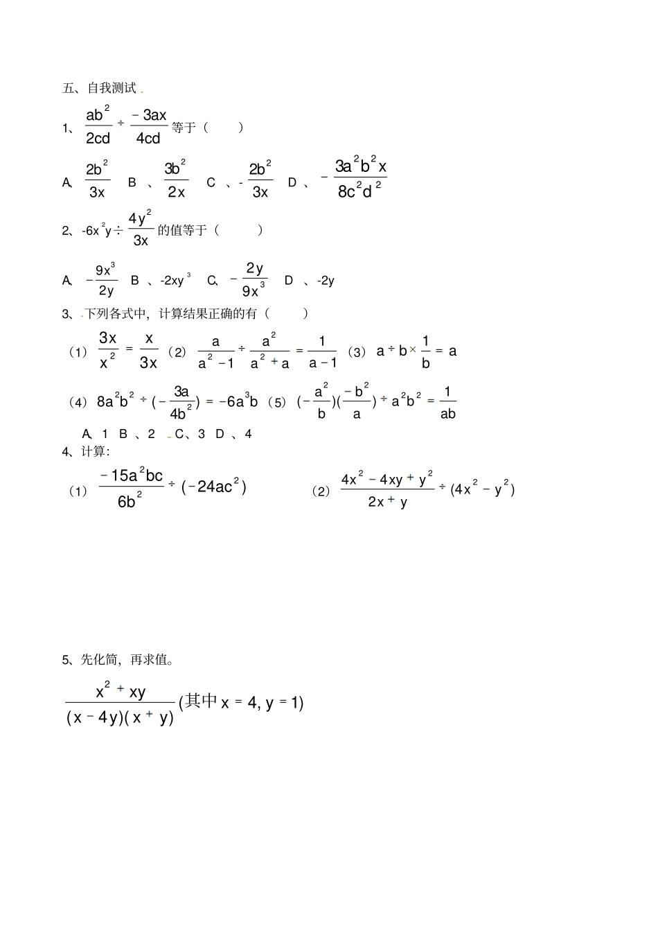
15.2.1分式的乘除(导学案)学习目标:1、理解分式的乘除法法则2、会进行分式乘除运算学习重点:会用分式乘除法则进行运算学习难点:灵活运用分式乘除法则进行运算一、学前准备1、两个分式相乘,分子的积作为积的,分母的积作为积的,用式子表示为acbdcdab2、分式除以分式,把除式的分子、分母颠倒位置后,与被除式,用式子表示为adbcdcabcdab二、独立探究、解决问题1、计算(1)3254xyyx(2)cdbacba65324232、已知m米布料能做n件上衣,2米布料能做3n条裤子,则一件上衣的用料是一条裤子用料的倍。三、课堂演练:1、下列分式中,最简分式是()A、1.B、2242yxyxC、24212xxxD、223xxx2、下列约分正确的是()A、326xxxB、0yxyxC、xxyxyx12D、214222yxxy3、计算:(1))8(43222yzzxy(2)bbaab2239(3)yxxyyxxyx2(4)mmm6136122四、拓展延伸:已知:2+32=22×32,3+83=32×83,4+154=42×154⋯⋯,若:8+ba=82×ba(a、b为正整数),求分式bababababa222的值。五、自我测试1、cdaxcdab4322等于()A、xb322B、xb232C、-xb322D、222283dcxba2、-6x2y÷xy342的值等于()A、yx293B、-2xy3C、392xyD、-2y3、下列各式中,计算结果正确的有()(1)xxxx332(2)111222aaaaaa(3)abba1(4)bababa32226)43(8(5)abbaabba1))((2222A、1B、2C、3D、44、计算:(1))24(615222acbbca(2))4(2442222yxyxyxyx5、先化简,再求值。)1,4())(4(2yxyxyxxyx其中

1、当您付费下载文档后,您只拥有了使用权限,并不意味着购买了版权,文档只能用于自身使用,不得用于其他商业用途(如 [转卖]进行直接盈利或[编辑后售卖]进行间接盈利)。
2、本站所有内容均由合作方或网友上传,本站不对文档的完整性、权威性及其观点立场正确性做任何保证或承诺!文档内容仅供研究参考,付费前请自行鉴别。
3、如文档内容存在违规,或者侵犯商业秘密、侵犯著作权等,请点击“违规举报”。

碎片内容

人教版初二数学上册1分式的乘除导学案1方式的乘除-导学案

您可能关注的文档

爱的疯狂+ 关注
实名认证
内容提供者

该用户很懒,什么也没介绍

确认删除?
VIP
微信客服
  • 扫码咨询
会员Q群
  • 会员专属群点击这里加入QQ群
客服邮箱
回到顶部