电脑桌面
添加小米粒文库到电脑桌面
安装后可以在桌面快捷访问

基与维数几种求法VIP免费

基与维数几种求法_第1页
1/7
基与维数几种求法_第2页
2/7
基与维数几种求法_第3页
3/7
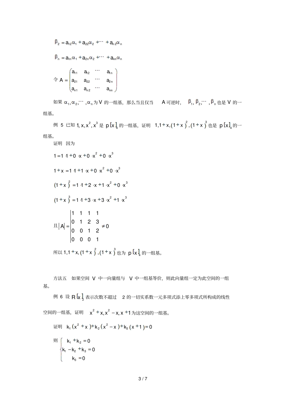
1 / 7 线性空间基和维数的求法方法一根据线性空间基和维数的定义求空间的基和维数, 即:在线性空间V 中,如果有n 个向量n,,1满足 : (1)n,2,1线性无关。(2) V 中任一向量总可以由n,,21,线性表示。那 么 称 V 为 n 维 ( 有 限 维 )线 性 空 间 , n 为 V 的 维 数 ,记 为 dim vn , 并 称n,,2,1为线性空间 V 的一组基。如果在 V 中可以找到任意多个线性无关的向量,那么就成V 为无限维的。例 1 设0VX AX, A 为数域 P 上 m n 矩阵, X 为数域 P 上 n 维向量,求 V的维数和一组基。解 设矩阵 A 的秩为 r ,则齐次线性方程组0AX的任一基础解系都是V 的基,且 V 的维数为 nr 。例 2 数域 P 上全体形如0aab的二阶方阵, 对矩阵的加法及数与矩阵的乘法所组成的线性空间,求此空间的维数和一组基。解 易证0100,1001为线性空间0,aVa bpab|的一组线性无关的向量组,且对 V 中任一元素0aab有00100+1001aabab按定义0100,1001为 V 的一组基, V 的维数为2。方法二在已知线性空间的维数为n 时,任意 n 个向量组成的线性无关向量组均作成线性空间的基。例 3 假定nR x是一切次数小于n 的实系数多项式添上零多项式所形成的线性空间,证明:211,1 ,1,,1nxxx构成nR x的基。证明 考察1121110nnkkxkx由1nx的系数为 0 得0nk,并代入上式可得2nx的系数10nk依此类推便有110nnkkk,2 / 7 故11,1 ,,1nxx线性无关又nR x的维数为 n , 于是11,1 ,,1nxx为nR x的基。方法三利用定理:数域p 上两个有限维线性空间同构的充分必要条件是它们有相同的维数。例 4 设0110A,证明:由实数域上的矩阵A 的全体实系数多项式fA 组成的空 间0110VfAA|与 复 数 域 C 作 为 实 数 域 R 上 的 线 性 空 间'VabiR|a,b同构,并非求它们的维数。证明V 中任一多项式可记为=,,fAaEbAa bR ,建立'V 到 V 的如下映射11111111:,abifAa Eb A a bR易证是'V 到 V 上的单射,满射即一一映射。再设222 ,ab i22,,a bR KR ,则有121212121212aabbiaaEbbA111111kkakbika Eka Akx故是'V 到 V 的同构映射,所以V 到'V 同构另外,易证'V 的一个基为 1, i ,故'dim2V'VVdim2V方法四利用以下结论确定空间的基:设12,,,n 与12,,,n 是 n 维线性空间 V 中两组向量, 已知12,,,n可由12,,,n 线性表出:11112121nnaaa3 / 7 21212222nnaaa11...

1、当您付费下载文档后,您只拥有了使用权限,并不意味着购买了版权,文档只能用于自身使用,不得用于其他商业用途(如 [转卖]进行直接盈利或[编辑后售卖]进行间接盈利)。
2、本站所有内容均由合作方或网友上传,本站不对文档的完整性、权威性及其观点立场正确性做任何保证或承诺!文档内容仅供研究参考,付费前请自行鉴别。
3、如文档内容存在违规,或者侵犯商业秘密、侵犯著作权等,请点击“违规举报”。

碎片内容

基与维数几种求法

爱的疯狂+ 关注
实名认证
内容提供者

该用户很懒,什么也没介绍

确认删除?
VIP
微信客服
  • 扫码咨询
会员Q群
  • 会员专属群点击这里加入QQ群
客服邮箱
回到顶部