电脑桌面
添加小米粒文库到电脑桌面
安装后可以在桌面快捷访问

初中数学中考计算题VIP免费

初中数学中考计算题_第1页
1/14
初中数学中考计算题_第2页
2/14
初中数学中考计算题_第3页
3/14
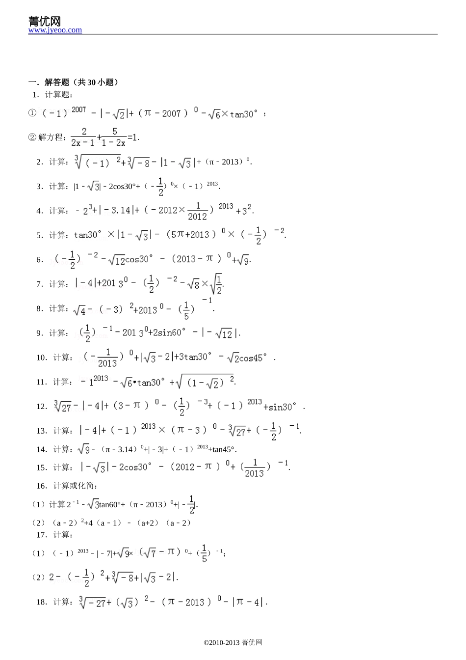
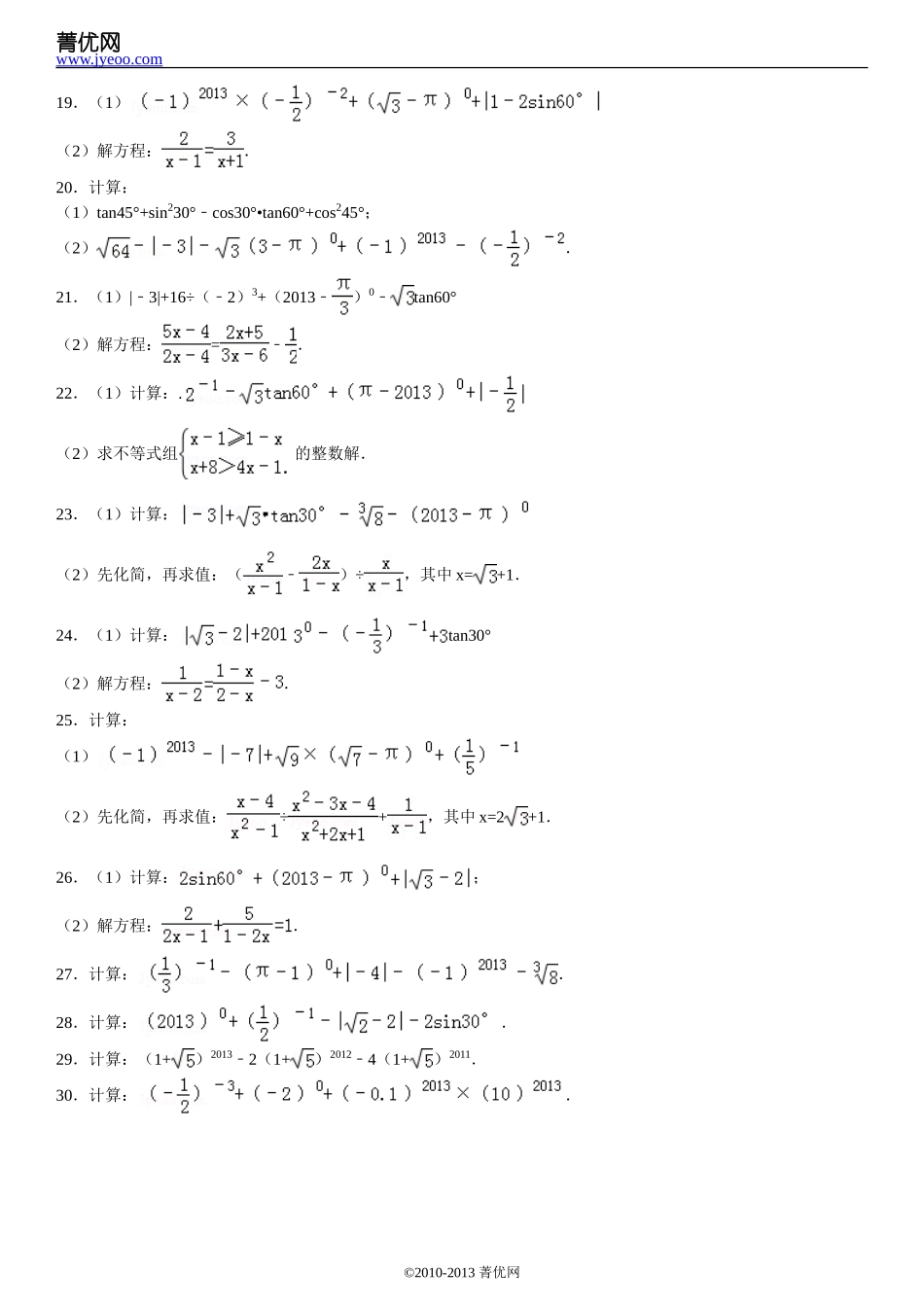
初中数学中考计算题菁优网www.jyeoo.com一.解答题(共30小题)1.计算题:①;②解方程:.2.计算:+(π2013﹣)0.3.计算:|1﹣|2cos30°+﹣(﹣)0×(﹣1)2013.4.计算:﹣.5.计算:.6..7.计算:.8.计算:.9.计算:.10.计算:.11.计算:.12..13.计算:.14.计算:﹣(π3.14﹣)0+|3|+﹣(﹣1)2013+tan45°.15.计算:.16.计算或化简:(1)计算21﹣﹣tan60°+(π2013﹣)0+|﹣|.(2)(a2﹣)2+4(a1﹣)﹣(a+2)(a2﹣)17.计算:(1)(﹣1)2013|7|+﹣﹣×0+()﹣1;(2).18.计算:.©2010-2013菁优网菁优网www.jyeoo.com19.(1)(2)解方程:.20.计算:(1)tan45°+sin230°cos30°•tan60°+cos﹣245°;(2).21.(1)|3|+16÷﹣(﹣2)3+(2013﹣)0﹣tan60°(2)解方程:=﹣.22.(1)计算:.(2)求不等式组的整数解.23.(1)计算:(2)先化简,再求值:(﹣)÷,其中x=+1.24.(1)计算:tan30°(2)解方程:.25.计算:(1)(2)先化简,再求值:÷+,其中x=2+1.26.(1)计算:;(2)解方程:.27.计算:.28.计算:.29.计算:(1+)20132﹣(1+)20124﹣(1+)2011.30.计算:.©2010-2013菁优网菁优网www.jyeoo.com2013年6月朱鹏的初中数学组卷参考答案与试题解析一.解答题(共30小题)1.计算题:①;②解方程:.考点:解分式方程;实数的运算;零指数幂;特殊角的三角函数值.165435专题:计算题.分析:①根据零指数幂、特殊角的三角函数值、绝对值求出每一部分的值,再代入求出即可;②方程两边都乘以2x1﹣得出25=2x1﹣﹣,求出方程的解,再进行检验即可.解答:①解:原式=1﹣﹣+1﹣,=2﹣;②解:方程两边都乘以2x1﹣得:25=2x1﹣﹣,解这个方程得:2x=2﹣,x=1﹣,检验:把x=1﹣代入2x1≠0﹣,即x=1﹣是原方程的解.点评:本题考查了解分式方程,零指数幂,绝对值,特殊角的三角函数值等知识点的应用,①小题是一道比较容易出错的题目,解②小题的关键是把分式方程转化成整式方程,同时要注意:解分式方程一定要进行检验.2.计算:+(π2013﹣)0.考点:实数的运算;零指数幂.165435专题:计算题.分析:根据零指数幂的意义得到原式=12+1﹣﹣+1,然后合并即可.解答:解:原式=12+1﹣﹣+1=1﹣.点评:本题考查了实数的运算:先进行乘方或开方运算,再进行加减运算,然后进行加减运算.也考查了零指数幂.3.计算:|1﹣|2cos30°+﹣(﹣)0×(﹣1)2013.考点:实数的运算;零指数幂;特殊角的三角函数值.165435分析:根据绝对值的概念、特殊三角函数值、零指数幂、乘方的意义计算即可.解答:解:原式=12×﹣﹣+1×(﹣1)=1﹣﹣1﹣=2﹣.©2010-2013菁优网菁优网www.jyeoo.com点评:本题考查了实数运算,解题的关键是注意掌握有关运算法则.4.计算:﹣.考点:有理数的混合运算.165435专题:计算题.分析:先进行乘方运算和去绝对值得到原式=8+3.141+9﹣﹣,然后进行加减运算.解答:解:原式=8+3.141+9﹣﹣=3.14.点评:本题考查了有理数的混合运算:先算乘方,再算乘除,然后进行加减运算;有括号先算括号.5.计算:.考点:实数的运算;零指数幂;负整数指数幂;特殊角的三角函数值.165435专题:计算题.分析:根据负整数指数幂、零指数幂以及特殊角的三角函数值得到原式=×(﹣1)﹣1×4,然后进行乘法运算后合并即可.解答:解:原式=×(﹣1)﹣1×4=1﹣4﹣=3﹣﹣.点评:本题考查了实数的运算:先算乘方或开方,再算乘除,然后进行加减运算;有括号先算括号.也考查了负整数指数幂、零指数幂以及特殊角的三角函数值.6..考点:实数的运算;零指数幂;负整数指数幂;特殊角的三角函数值.165435分析:分别进行二次根式的化简、负整数指数幂、零指数幂、然后代入特殊角的三角函数值,最后合并即可得出答案.解答:解:原式=42﹣×1+3﹣=3.点评:本题考查了实数的运算,涉及了二次根式的化简、负整数指数幂、零指数幂的运算,解答本题的关键是熟练掌握各部分的运算法则.7.计算:.考点:实数的运算;零指数幂;负整数指数幂.165435专题:计算题.分析:根据负整数...

1、当您付费下载文档后,您只拥有了使用权限,并不意味着购买了版权,文档只能用于自身使用,不得用于其他商业用途(如 [转卖]进行直接盈利或[编辑后售卖]进行间接盈利)。
2、本站所有内容均由合作方或网友上传,本站不对文档的完整性、权威性及其观点立场正确性做任何保证或承诺!文档内容仅供研究参考,付费前请自行鉴别。
3、如文档内容存在违规,或者侵犯商业秘密、侵犯著作权等,请点击“违规举报”。

碎片内容

初中数学中考计算题

文章天下+ 关注
实名认证
内容提供者

各种文档应有尽有

确认删除?
VIP
微信客服
  • 扫码咨询
会员Q群
  • 会员专属群点击这里加入QQ群
客服邮箱
回到顶部