电脑桌面
添加小米粒文库到电脑桌面
安装后可以在桌面快捷访问

初中数学中考计算题学生版VIP免费

初中数学中考计算题学生版_第1页
1/6
初中数学中考计算题学生版_第2页
2/6
初中数学中考计算题学生版_第3页
3/6
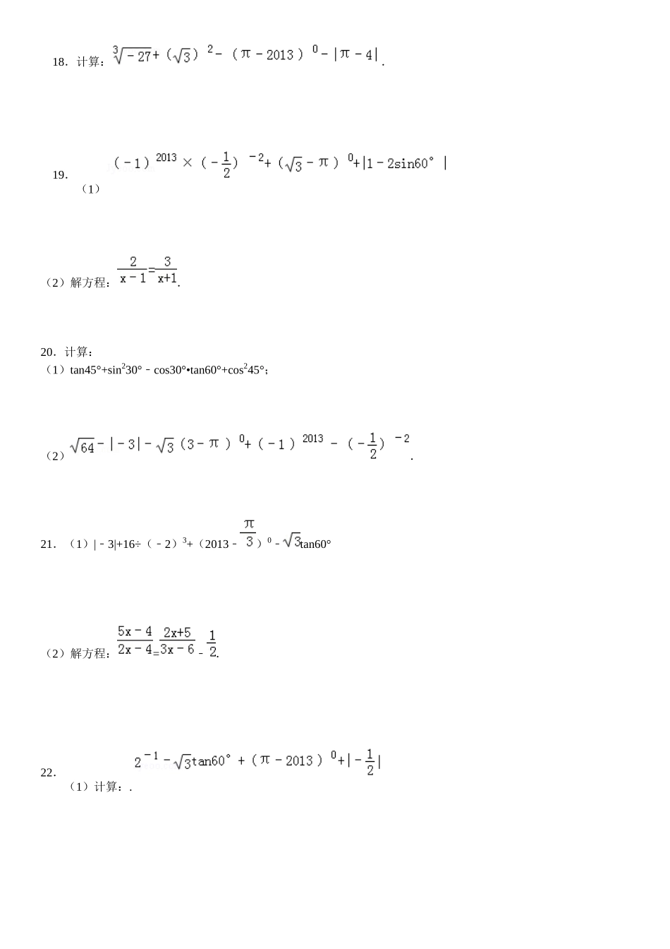
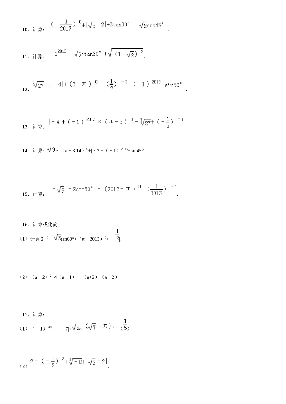
初中数学中考计算题一.解答题(共30小题)1.计算题:①;②解方程:.2.计算:+(π2013﹣)0.3.计算:|1﹣|2cos30°+﹣(﹣)0×(﹣1)2013.4.计算:﹣.5.计算:.6..7.计算:.8.计算:.9.计算:.10.计算:.11.计算:.12..13.计算:.14.计算:﹣(π3.14﹣)0+|3|+﹣(﹣1)2013+tan45°.15.计算:.16.计算或化简:(1)计算21﹣﹣tan60°+(π2013﹣)0+|﹣|.(2)(a2﹣)2+4(a1﹣)﹣(a+2)(a2﹣)17.计算:(1)(﹣1)2013|7|+﹣﹣×0+()﹣1;(2).18.计算:.19.(1)(2)解方程:.20.计算:(1)tan45°+sin230°cos30°•tan60°+cos﹣245°;(2).21.(1)|3|+16÷﹣(﹣2)3+(2013﹣)0﹣tan60°(2)解方程:=﹣.22.(1)计算:.(2)求不等式组的整数解.23.(1)计算:(2)先化简,再求值:(﹣)÷,其中x=+1.24.(1)计算:tan30°(2)解方程:.25.计算:(1)(2)先化简,再求值:÷+,其中x=2+1.26.(1)计算:;(2)解方程:.27.计算:.28.计算:.29.计算:(1+)20132﹣(1+)20124﹣(1+)2011.30.计算:.

1、当您付费下载文档后,您只拥有了使用权限,并不意味着购买了版权,文档只能用于自身使用,不得用于其他商业用途(如 [转卖]进行直接盈利或[编辑后售卖]进行间接盈利)。
2、本站所有内容均由合作方或网友上传,本站不对文档的完整性、权威性及其观点立场正确性做任何保证或承诺!文档内容仅供研究参考,付费前请自行鉴别。
3、如文档内容存在违规,或者侵犯商业秘密、侵犯著作权等,请点击“违规举报”。

碎片内容

初中数学中考计算题学生版

文章天下+ 关注
实名认证
内容提供者

各种文档应有尽有

相关文档

确认删除?
VIP
微信客服
  • 扫码咨询
会员Q群
  • 会员专属群点击这里加入QQ群
客服邮箱
回到顶部