电脑桌面
添加小米粒文库到电脑桌面
安装后可以在桌面快捷访问

正弦余弦函数的性质VIP免费

正弦余弦函数的性质正弦余弦函数的性质正弦余弦函数的性质
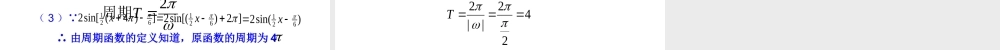
1.4.2 正弦函数、余弦函数的性质观察图像,找出图像的共同点:( 1 )定义域: R( 2 )值域: [-1 , 1]( 3 )图象有规律地不断重复出现。正弦函数的图象探究余弦函数的图象x22322523yO23225311x22322523yO23225311| sin|1| cos|1≤≤xx( 1 )图象特征:图象从X轴看等距离重复出现;( 2 )数值特征:当自变量 x 每增加 的整数倍时,函数值重复出现。( 3 )定义:若存在一个非零常数 T ,使得当 x 取定义域内的每一个值时,都有 f(x+T)=f(x) 成立,则称函数 f(x) 为周期函数;非零常数 T 叫做这个函数的周期.( 4 )最小正周期:如果在周期函数的所有周期中存在一个最小的正数,则称这个最小的正数为函数的最小正周期。2一、周期性正弦函数的图象x22322523yO23225311正弦函数的和余弦函数的的最小正周期为23 、周期函数不一定存在最小正周期。例如 f(x)=c2 、非唯一性——周期函数的周期不止一个,例如, 都是正弦函数的周期。2 ,4 ,6 ,2 , 4 , 6和1 、存在性——要求对于定义域中的每一个值 x, 均有 f(x+T)=f(x) 。注意1 1 y 3cos x,xR(2)y=sin 2x,xRx(3)y2sin(),xR26例求下列函数的周期( ) =.,都指最小正周期若不加特别说明解:( 1 )∵3cos(2 )3cosxx∴ 由周期函数的定义知道,原函数的周期为 2( 2 )∵ sin 2()x∴ 由周期函数的定义知道,原函数的周期为sin(22 )x sin 2x( 3 )∵ 1262sin[ (4 )]x∴ 由周期函数的定义知道,原函数的周期为 41262sin[()2 ]x1262sin()x2TT4T思考:函数的周期与解析式中的哪些量有关?)cos()sin(xAyxAy与函数函数2T周期例题例题(1) ( )sin(2)5f xx1(2) ( )cos()232xf x求下列函数的周期练习:1222T422||2T

1、当您付费下载文档后,您只拥有了使用权限,并不意味着购买了版权,文档只能用于自身使用,不得用于其他商业用途(如 [转卖]进行直接盈利或[编辑后售卖]进行间接盈利)。
2、本站所有内容均由合作方或网友上传,本站不对文档的完整性、权威性及其观点立场正确性做任何保证或承诺!文档内容仅供研究参考,付费前请自行鉴别。
3、如文档内容存在违规,或者侵犯商业秘密、侵犯著作权等,请点击“违规举报”。

碎片内容

正弦余弦函数的性质

您可能关注的文档

精品文库+ 关注
实名认证
内容提供者

小学学习各类资料大全

相关文档

确认删除?
VIP
微信客服
  • 扫码咨询
会员Q群
  • 会员专属群点击这里加入QQ群
客服邮箱
回到顶部