电脑桌面
添加小米粒文库到电脑桌面
安装后可以在桌面快捷访问

函数求值域的方法VIP免费

函数求值域的方法_第1页
1/10
函数求值域的方法_第2页
2/10
函数求值域的方法_第3页
3/10
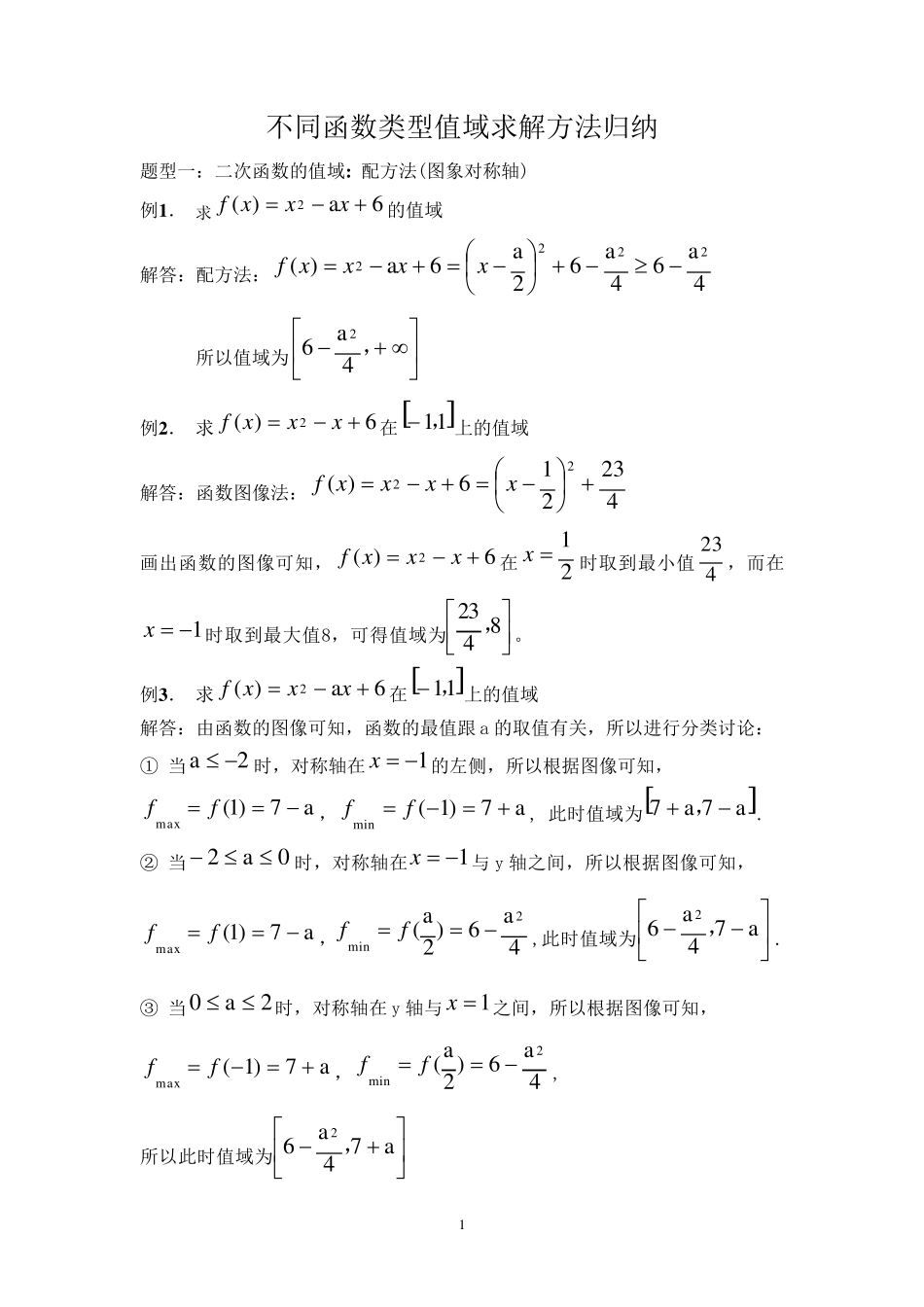
1 不同函数类型值域求解方法归纳 题型一:二次函数的值域: 配方法(图象对称轴) 例1. 求6a)(2xxxf的值域 解答:配方法:4a64a62a6a)(2222xxxxf 所以值域为,4a62 例2. 求6)(2xxxf在11,上的值域 解答:函数图像法:423216)(22xxxxf 画出函数的图像可知,6)(2xxxf在21x时取到最小值423,而在1x时取到最大值8,可得值域为8423 ,。 例3. 求6a)(2xxxf在11,上的值域 解答:由函数的图像可知,函数的最值跟a 的取值有关,所以进行分类讨论: ① 当2a时,对称轴在1x的左侧,所以根据图像可知, a7)1(max ff,a7)1(min ff, 此时值域为a7a7 ,. ② 当0a2时,对称轴在1x与 y 轴之间,所以根据图像可知, a7)1(max ff,4a6)2a(2min ff,此时值域为a74a62 ,. ③ 当2a0时,对称轴在y 轴与1x之间,所以根据图像可知, a7)1(max ff,4a6)2a(2min ff, 所以此时值域为a74a62 , 2 ④ 当a2 时,对称轴在1x的右侧,所以根据图像可知, a7)1(max ff,a7)1(min ff 所以此时的值域为a7a7 , 题型二:指数、对数函数的值域: 采用换元法 例4. 求62log)(22xxxf的值域 解答:复合形式用换元:令622xxt,则由例 1 可知,,5t 根据单调性,可求出t2log的值域为,5log2 例5. 求624)(1 xxxf的值域 解答:因为 224xx ,所以,采用换元法,令xt2,则,0t 则原函数变为622 tt,可以根据二次函数值域的求法得到值域为 ,6 题型三:分式函数的值域 分式函数的值域方法:(1) 分离变量(常数)法;(2) 反函数法(中间变量有界法);(3) 数形结合(解析几何法:求斜率);(4) 判别式法(定义域无限制为 R); 例6. 求函数132)( xxxf的值域 解法一:分离变量法。将分式中分子部分的变量分离出去。则可以换元,令1 xt,原函数变为ttt1212,由反比例函数的性质可知,值域为 ,22, 解法二:反函数法。利用原函数的值域就是反函数的定义域,来求值域。令132)(xxxfy,则32 xyyx,得到23 yyx,可知2y 例7...

1、当您付费下载文档后,您只拥有了使用权限,并不意味着购买了版权,文档只能用于自身使用,不得用于其他商业用途(如 [转卖]进行直接盈利或[编辑后售卖]进行间接盈利)。
2、本站所有内容均由合作方或网友上传,本站不对文档的完整性、权威性及其观点立场正确性做任何保证或承诺!文档内容仅供研究参考,付费前请自行鉴别。
3、如文档内容存在违规,或者侵犯商业秘密、侵犯著作权等,请点击“违规举报”。

碎片内容

函数求值域的方法

小辰6+ 关注
实名认证
内容提供者

出售各种资料和文档

确认删除?
VIP
微信客服
  • 扫码咨询
会员Q群
  • 会员专属群点击这里加入QQ群
客服邮箱
回到顶部