电脑桌面
添加小米粒文库到电脑桌面
安装后可以在桌面快捷访问

数列的综合应用讲题VIP免费

数列的综合应用讲题_第1页
1/2
数列的综合应用讲题_第2页
2/2
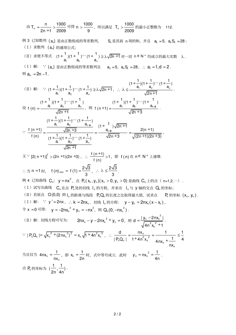
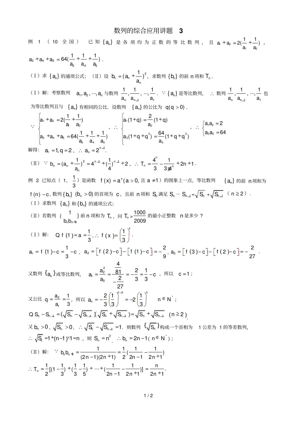
1 / 2 数列的综合应用讲题3 例1 ( 10全 国 )已 知 {}na是 各 项 均 为 正 数 的 等 比 数 列 , 且1212112()aaaa,345aaa34511164()aaa.(Ⅰ)求 {}na的通项公式; (Ⅱ)设21()nnnbaa,求数列 {}nb的前 n 项和nT .(Ⅰ)解:考察数列12,,,na aa 与数列11111,,,nnaaa.{}na是等比数列,数列11111,,,nnaaa也为等比数列且与{}na有相同的公比.设数列{}na的公比为(0)q q.1212345345112()11164()aaaaaaaaaa,1222352(1)(1)64(1)(1)aqqaaqqqqa,1235264a aa a解得:11,2aq,12nna.(Ⅱ)21111()4( )24nnnnnbaa,412133 4nnnTn.例 2 已知点( 1,31 )是函数,0()(aaxfx且1a)的图象上一点,等比数列}{na的前 n项和为cnf)(, 数列}{nb)0(nb的首项为 c ,且前 n 项和nS 满足nS -1nS=nS +1nS(2n). (Ⅰ)求数列}{na和}{nb的通项公式;(Ⅱ)若数列 {}11nnbb前 n 项和为nT ,问nT >20091000 的最小正整数 n 是多少 ? (Ⅰ)解:113faQ,13xfx.1113afcc ,221afcfc29,323227afcfc . 又数列na成等比数列,22134218123327aaca,所以1c;又公比2113aqa,所以12 1123 33nnna*nN ;1111nnnnnnnnSSSSSSSSQ2n.又0nb,0nS, 11nnSS.则数列nS构成一个首相为1 公差为 1 的等差数列,11 1nSnn ,则2nSn .21nbn(*nN ) ;(Ⅱ)解:11111()(21)(21)2 2121nnb bnnnn111111[(1)()()]2335212121nnTnnn.2 / 2 由1000212009nnTn可得10009n,所以满足10002009nT的最小正整数为112.例 3 已知数列 {}na是由正数组成的等差数列,nS 是其前 n 项的和,并且3425, 28aa S;(Ⅰ)求数列{}na的通项公式;(Ⅱ)求使不等式12111(1)(1)(1)21nnaaa对一切*nN均成立的最大实数.(Ⅰ)解:{}na是由正数组成的等差数列且3425, 28aa S,11,2ad.则21nan.(Ⅱ)解:12111(1)(1)(1)21nnaaa,12111(1)(1)(1)21naaan.设12111(1)(1)(1)( )21naaaf nn,则121111(1)(1)(1)(1)23naaaf nn.121112111(1)(1)(1)1(1)21(1)2(1)23111( )23(21)(23)(1)(1)(1)21nnnaaanaf nnnf nnnnaaan,又2[2(1)](21)(23)nnn,(1)1( )f nf n,即( )f n 在*nN上递增.当1n时,min2 3( )(1)3f nf,2 33.例 4 已知曲线2nCynx:,点(,)(0,0)nnnnnP xyxy是曲线nC 上的点( n=1,2,⋯) . (Ⅰ)试写出曲线nC 在点nP 处的切线nl的方程,并求出nl 与 y 轴的交点nQ 的坐标;(Ⅱ)若原点(0,0)O到nl 的距离与线段nnP Q 的长度之比取得最大值,试求点nP 的坐标 (,nnxy ).(Ⅰ)解:2ynx ,2nknx .切线nl 的方程:2()nnnyynxxx,令0x可得:222nnynxynx ,则2(0,)nnQnx.(Ⅱ)解:切线方程可写为:2220nnnnxynxy,则222|2|41nnnynxdn x.22222||(2)14nnnnnnP Qxnxxn x,22111||1444nnnnnnnxdP Qn xnxnx当且仅当14nnnxnx,即12nxn时,式中等号成立.此时214nnynxn.点nP 的坐标为11(,)24nn.

1、当您付费下载文档后,您只拥有了使用权限,并不意味着购买了版权,文档只能用于自身使用,不得用于其他商业用途(如 [转卖]进行直接盈利或[编辑后售卖]进行间接盈利)。
2、本站所有内容均由合作方或网友上传,本站不对文档的完整性、权威性及其观点立场正确性做任何保证或承诺!文档内容仅供研究参考,付费前请自行鉴别。
3、如文档内容存在违规,或者侵犯商业秘密、侵犯著作权等,请点击“违规举报”。

碎片内容

数列的综合应用讲题

确认删除?
VIP
微信客服
  • 扫码咨询
会员Q群
  • 会员专属群点击这里加入QQ群
客服邮箱
回到顶部