电脑桌面
添加小米粒文库到电脑桌面
安装后可以在桌面快捷访问

2014年全国高中数学联赛试题及答案VIP免费

2014年全国高中数学联赛试题及答案_第1页
1/11
2014年全国高中数学联赛试题及答案_第2页
2/11
2014年全国高中数学联赛试题及答案_第3页
3/11
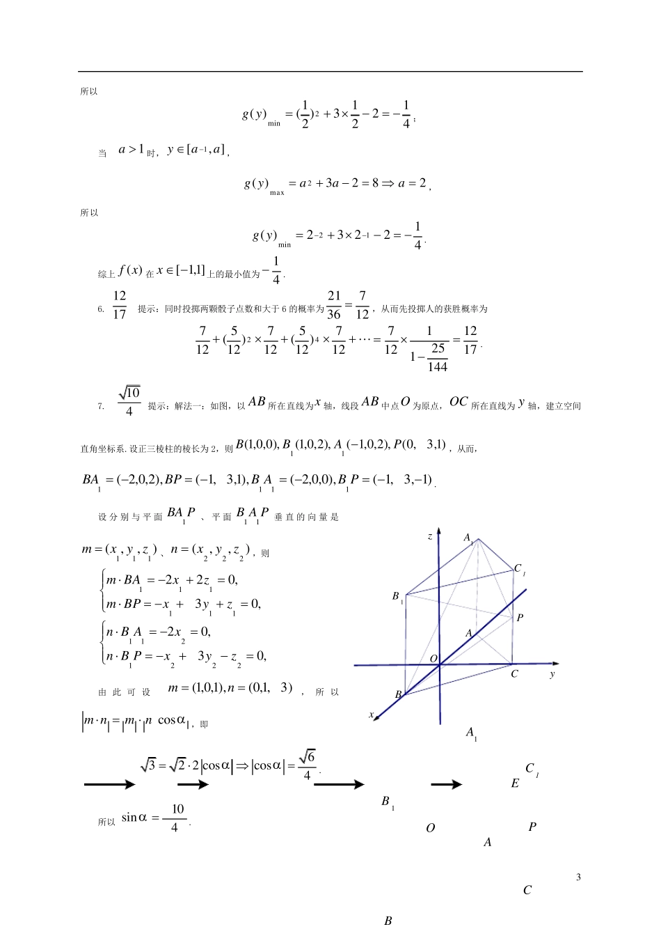
1 2014 年全国高中数学联赛(B 卷) 一 试 一、填空题(每小题 8 分,共 64 分,) 1. 函数xxxf3245)(的值域是 . 2. 已知函数xxaysin)3cos(2的最小值为3,则实数a 的取值范围是 . 3. 双曲线122 yx的右半支与直线100x围成的区域内部(不含边界)整点(纵横坐标均为整数的点)的个数是 . 4. 已知}{na是公差不为0 的等差数列,}{nb是等比数列,其中3522113,,1,3bababa,且存在常数,使得对每一个正整数n 都有nnbalog,则  . 5. 函数)1,0(23)(2aaaaxfxx 在区间]1,1[x上的最大值为 8,则它在这个区间上的最小值是 . 6. 两人轮流投掷骰子,每人每次投掷两颗,第一个使两颗骰子点数和大于 6 者为胜,否则轮由另一人投掷.先投掷人的获胜概率是 . 7. 正 三棱柱111CBAABC 的 9 条棱 长都相 等, P 是1CC 的中点, 二面角11BPAB, 则sin . 8. 方程2010zyx满足zyx的正整数解(x,y,z)的个数是 . 二、解答题(本题满分 56 分) 9. (16 分)已知函数)0()(23adcxbxaxxf,当10 x时,1)( xf,试求a 的最大值. 10.(20 分)已知抛物线xy62 上的两个动点1122(,)(,)A x yB xy和,其中21xx 且421 xx.线段 AB的垂直平分线与 x 轴交于点C ,求 ABC面积的最大值. 11.(20 分)证明:方程02523 xx恰有一个实数根 r ,且存在唯一的严格递增正整数数列}{na,使得 32152aaarrr. 解 答 1. ]3,3[ 提示:易知)(xf的定义域是 8,5,且)(xf在 8,5上是增函数,从而可知)(xf的值域为]3,3[. 2 2. 1223a 提示:令tx sin,则原函数化为taattg)3()(2,即 taattg)3()(3. 由3)3(3taat,0)1(3)1( 2ttat,0)3)1()(1(tatt 及01 t 知03)1(tat 即 3)( 2 tta. (1) 当1,0 t时(1)总成立; 对20,102ttt;对041,012ttt.从而可知 1223a. 3. 9800 提示:由对称性知,只要先考虑x 轴上方的情况,设)99,,2,1(kky与双曲线右半支于kA ,交直线100x于kB,则线段kk BA内部的整点的个数为99k,从而在x 轴上方区域内部整点的个数为 991(99)99 494851kk. 又x 轴上有98 个整点,所以所求整点的个...

1、当您付费下载文档后,您只拥有了使用权限,并不意味着购买了版权,文档只能用于自身使用,不得用于其他商业用途(如 [转卖]进行直接盈利或[编辑后售卖]进行间接盈利)。
2、本站所有内容均由合作方或网友上传,本站不对文档的完整性、权威性及其观点立场正确性做任何保证或承诺!文档内容仅供研究参考,付费前请自行鉴别。
3、如文档内容存在违规,或者侵犯商业秘密、侵犯著作权等,请点击“违规举报”。

碎片内容

2014年全国高中数学联赛试题及答案

小辰5+ 关注
实名认证
内容提供者

出售各种资料和文档

确认删除?
VIP
微信客服
  • 扫码咨询
会员Q群
  • 会员专属群点击这里加入QQ群
客服邮箱
回到顶部