电脑桌面
添加小米粒文库到电脑桌面
安装后可以在桌面快捷访问

求数列通项公式与数列求和精选练习题有答案

求数列通项公式与数列求和精选练习题有答案_第1页
1/3
求数列通项公式与数列求和精选练习题有答案_第2页
2/3
求数列通项公式与数列求和精选练习题有答案_第3页
3/3
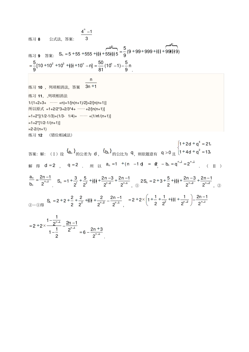
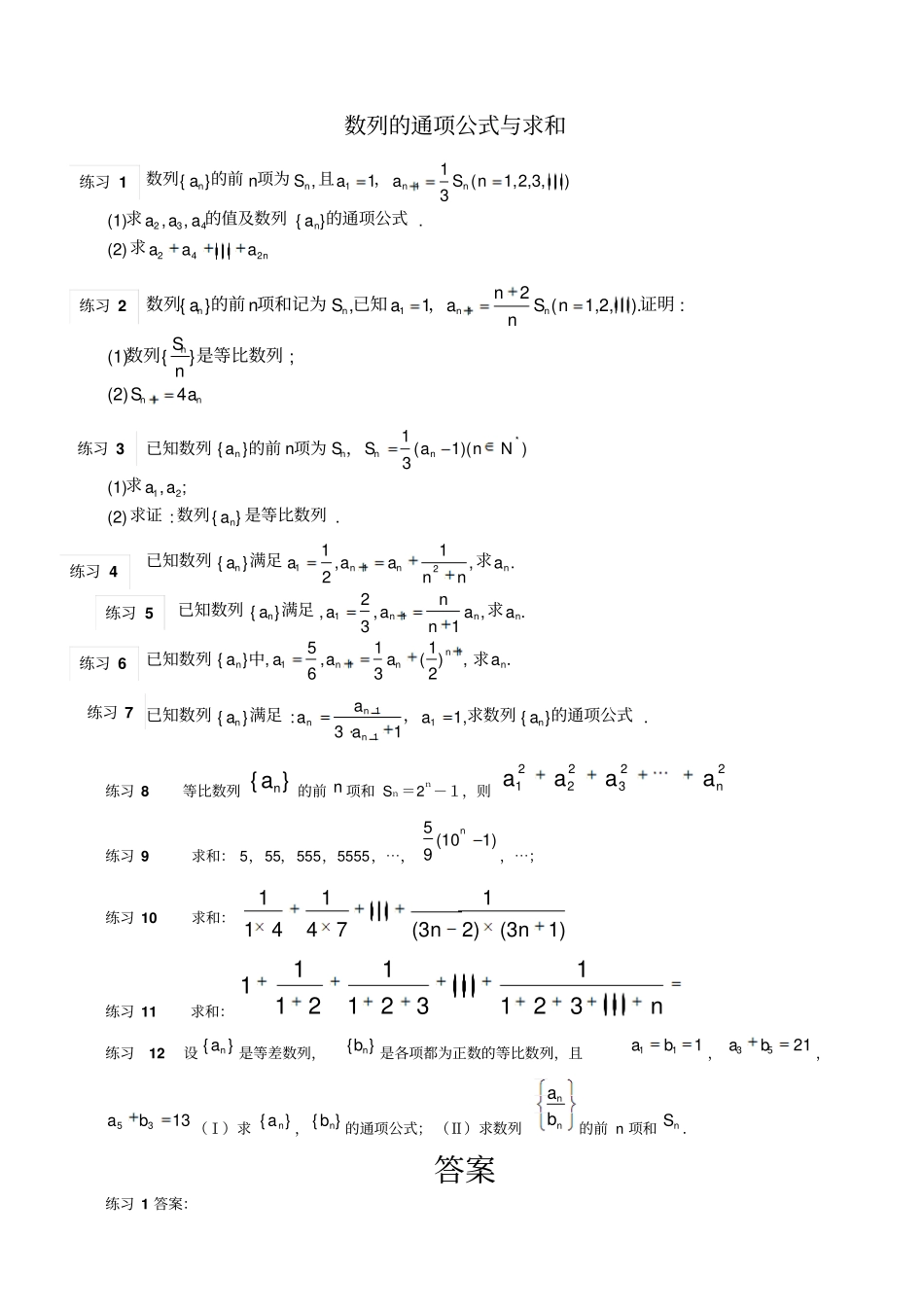
数列的通项公式与求和112342421{},1(1,2,3,)3(1),,{}.(2)nnnnnnanSaaSnaaaaaaa数列的前项为且,求的值及数列的通项公式求1112{},1(1,2,).:(1){};(2)4nnnnnnnnanSaaS nnSnSa数列的前 项和记为已知,证明数列是等比数列*121{}(1)()3(1),;(2):{}.nnnnnanSSanNa aa已知数列的前 项为,求求证数列是等比数列11211{},,.2nnnnaaaaann已知数列满足求112{},,,.31nnnnnaaaaan已知数列满足求111511{},,( ).632nnnnnaaaaa已知数列中, 求111{}:1,{}.31nnnnnaaaaaa已知数列满足,求数列的通项公式练习 8 等比数列 {}na的前 n 项和 Sn=2n-1,则2232221naaaa练习 9 求和: 5,55,555,5555,⋯,5 (101)9n,⋯;练习 10 求和:1111447(32)(31)nn练习 11 求和:111112123123n练习12 设 {}na是等差数列,{}nb是各项都为正数的等比数列,且111ab,3521ab,5313ab(Ⅰ)求 {}na, {}nb的通项公式; (Ⅱ)求数列nnab的前 n 项和nS .答案练习 1 答案:练习 1 练习 2 练习 3 练习 4 练习 5 练习 6 练习 7 练习 2 证明:(1) 注意到:a(n+1)=S(n+1)-S(n) 代入已知第二条式子得:S(n+1)-S(n)=S(n)*(n+2)/n nS(n+1)-nS(n)=S(n)*(n+2) nS(n+1)=S(n)*(2n+2) S(n+1)/(n+1)=S(n)/n*2 又 S(1)/1=a(1)/1=1 不等于 0 所以 {S(n)/n} 是等比数列(2) 由(1)知,{S(n)/n} 是以 1 为首项, 2 为公比的等比数列。所以 S(n)/n=1*2^(n-1)=2^(n-1) 即 S(n)=n*2^(n-1) (*) 代入 a(n+1)=S(n)*(n+2)/n 得a(n+1)=(n+2)*2^(n-1) (n属于 N) 即 a(n)=(n+1)*2^(n-2) (n属于 N 且 n>1) 又当 n=1 时上式也成立所以 a(n)=(n+1)*2^(n-2) (n属于 N) 由(*) 式得:S(n+1)=(n+1)*2^n =(n+1)*2^(n-2)*2^2 =(n+1)*2^(n-2)*4 对比以上两式可知:S(n+1)=4*a(n 练习 3 答案:1) a1=S1=1/3(a1-1) a1=-1/2 a2=S2-S1=1/3(a2-1)+1/2 3a2=a2-1+3/2 2a2=1/2 a2=1/4 2) 3Sn=an-1 3S(n-1)=a(n-1)-1 相减:3an=an-a(n-1) 2an=-a(n-1) an/a(n-1)=-1/2 所以 {an} 为等比数列!练习 4 累加法,答案:练习 5 累乘法,答案:练习 6 待定系数法,答案:练习 7 倒数法,答案:练习 8 公式法,答案:413n练习 9 答案:555555555nnS个5 (999999999)9n个235505[10 101010](101)9819nnnn.练习 10 ,列项相消法,答案31nn练习 11,,列项相消法1/(1+2+3+⋯⋯ +n)=1/[n(n+1)/2]=2/[n(n+1)]所以原式 =1+2/2*3+2/3*4+ ⋯⋯+2/[n(n+1)]=1+2*[(1/2-1/3)+(1/3- 1/4)+ ⋯⋯ +(1/n-1/(n+1)] =1+2*[1/2-1/(n+1)] =2-2/(n+1) 练习 12(错位相减法)答案:解:(Ⅰ)设na的公差为 d ,nb的公比为 q,则依题意有0q且4212211413dqdq,,解得2d,2q.所以1(1 )2nandn,112nnnbq. (Ⅱ)1212nnnanb.122135232112222nnnnnS,①3252321223222nnnnnS,②②-①得22122221222222nnnnS,221111212212222nnn1111212221212nnn12362nn.

1、当您付费下载文档后,您只拥有了使用权限,并不意味着购买了版权,文档只能用于自身使用,不得用于其他商业用途(如 [转卖]进行直接盈利或[编辑后售卖]进行间接盈利)。
2、本站所有内容均由合作方或网友上传,本站不对文档的完整性、权威性及其观点立场正确性做任何保证或承诺!文档内容仅供研究参考,付费前请自行鉴别。
3、如文档内容存在违规,或者侵犯商业秘密、侵犯著作权等,请点击“违规举报”。

碎片内容

求数列通项公式与数列求和精选练习题有答案

确认删除?
VIP
微信客服
  • 扫码咨询
会员Q群
  • 会员专属群点击这里加入QQ群
客服邮箱
回到顶部