电脑桌面
添加小米粒文库到电脑桌面
安装后可以在桌面快捷访问

函数单调性习题(含参问题)VIP免费

函数单调性习题(含参问题)_第1页
1/6
函数单调性习题(含参问题)_第2页
2/6
函数单调性习题(含参问题)_第3页
3/6
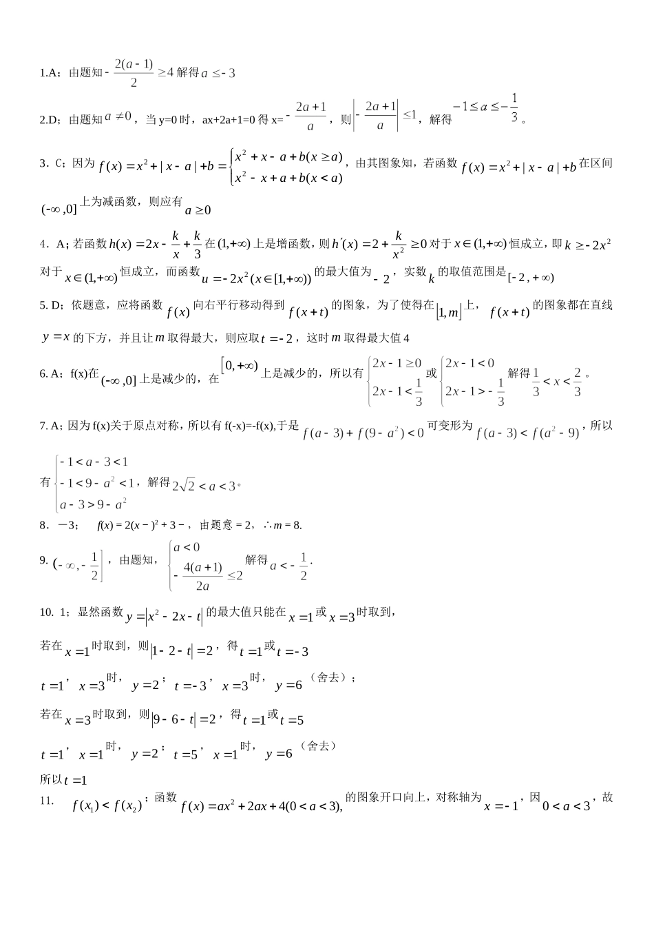
一、选择题1、在上是减函数,则a的取值范围是()。A.B.C.D.2、当时,函数的值有正也有负,则实数a的取值范围是()A.B.C.D.3、若函数baxxxf||)(2在区间]0,(上为减函数,则实数a的取值范围是()A.0a;B.1a;C.0a;D.1a4、若函数32)(kxkxxh在),1(上是增函数,则实数k的取值范围是()A.[2,);B.[2,);C.(,2];D.(,2]5、已知函数12)(2xxxf,若存在实数t,当mx,1时,xtxf)(恒成立,则实数m的最大值是()A.1;B.2;C.3;D.46、已知关于y轴对称的函数()fx在区间0,)单调递增,则满足(21)fx<1()3f的x取值范围是()A.(13,23)B.(,23)C.(12,23)D.,327、已知定义域为(-1,1)的关于原点对称的函数y=f(x)又是减函数,且,则a的取值范围是()A.(22,3)B.(3,10)C.(22,4)D.(-2,3)二、填空题8、函数,当时,是增函数,当x∈时是减函数,则f(1)=_____________9、函数在[2,+∞]上递减,则a的取值范围是10、已知t为常数,函数txxy22在区间[0,3]上的最大值为2,则t11、已知函数2()24(03),fxaxaxa若01,2121axxxx,则)(1xf与)(2xf的大小关系为12、定义在]11[,上的函数)(xfy是减函数,若)45()1(2afaaf,则实数a的范围为_____________13、已知(31)4,1()log,1aaxaxfxxx是(,)上的减函数,那么a的取值范围是14、已知a为实数,函数))(1()(2axxxf,若0)1('f,求函数)(xfy在3[,1]2上的最大值和最小值分别为、。三、解答题15、讨论函数322axxf(x)在(-2,2)内的单调性。16、定义在R上的函数)(xfy,0)0(f,当x>0时,1)(xf,且对任意的a、b∈R,有f(a+b)=f(a)·f(b).(1)求证:f(0)=1;(2)求证:对任意的x∈R,恒有f(x)>0;(3)求证:f(x)是R上的增函数;(4)若f(x)·f(2x-x2)>1,求x的取值范围.17、已知函数32()1fxxaxx,aR.(1)讨论函数()fx的单调区间;(2)设函数()fx在区间2133,内是减函数,求a的取值范围.18、已知函数xaxxxf2)(2).,1[,x(1)当21a时,求函数)(xf的最小值;(2)若对任意[1,),()0xfx恒成立,试求实数a的取值范围。19、已知定义域为R的函数12()2xxbfxa是奇函数。(1)求,ab的值;(2)若对任意的tR,不等式22(2)(2)0fttftk恒成立,求k的取值范围;20、已知向量→=(sinA,cosA),→=(,-1),→·→=1,且A为锐角(1)求角A的大小;(2)求函数f(x)=cos2x+4cosAsinx(xR)∈的值域.21、△ABC的角A、B、C的对边分别为a、b、c,→=(2b-c,a),→=(cosA,-cosC),且→⊥→.(1)求角A的大小;(2)当y=2sin2B+sin(2B+)取最大值时,求角B的大小.22、已知→=(cosx+sinx,sinx),→=(cosx-sinx,2cosx),(1)求证:向量→与向量→不可能平行;(2)若f(x)=→·→,且x[∈-,]时,求函数f(x)的最大值及最小值.1.A;由题知解得2.D;由题知,当y=0时,ax+2a+1=0得x=,则,解得。3.C;因为)()(||)(222axbaxxaxbaxxbaxxxf,由其图象知,若函数baxxxf||)(2在区间]0,(上为减函数,则应有0a4.A;若函数32)(kxkxxh在),1(上是增函数,则02)(2xkxh对于),1(x恒成立,即22xk对于),1(x恒成立,而函数)),1[(22xxu的最大值为2,实数k的取值范围是[2,)5.D;依题意,应将函数)(xf向右平行移动得到)(txf的图象,为了使得在m,1上,)(txf的图象都在直线xy的下方,并且让m取得最大,则应取2t,这时m取得最大值46.A;f(x)在]0,(上是减少的,在0,)上是减少的,所以有或解得。7.A;因为f(x)关于原点对称,所以有f(-x)=-f(x),于是可变形为,所以有,解得。8.-3;f(x)=2(x-)2+3-,由题意=2,∴m=8.9.,由题知,解得.10.1;显然函数txxy22的最大值只能在1x或3x时取到,若在1x时取到,则221t,得1t或3t1t,3x时...

1、当您付费下载文档后,您只拥有了使用权限,并不意味着购买了版权,文档只能用于自身使用,不得用于其他商业用途(如 [转卖]进行直接盈利或[编辑后售卖]进行间接盈利)。
2、本站所有内容均由合作方或网友上传,本站不对文档的完整性、权威性及其观点立场正确性做任何保证或承诺!文档内容仅供研究参考,付费前请自行鉴别。
3、如文档内容存在违规,或者侵犯商业秘密、侵犯著作权等,请点击“违规举报”。

碎片内容

函数单调性习题(含参问题)

您可能关注的文档

文章天下+ 关注
实名认证
内容提供者

各种文档应有尽有

相关文档

确认删除?
VIP
微信客服
  • 扫码咨询
会员Q群
  • 会员专属群点击这里加入QQ群
客服邮箱
回到顶部