电脑桌面
添加小米粒文库到电脑桌面
安装后可以在桌面快捷访问

(新课标)北京市2015届高考数学一轮复习讲义 第18讲 圆锥曲线新题赏析 理

(新课标)北京市2015届高考数学一轮复习讲义 第18讲 圆锥曲线新题赏析 理_第1页
1/4
(新课标)北京市2015届高考数学一轮复习讲义 第18讲 圆锥曲线新题赏析 理_第2页
2/4
(新课标)北京市2015届高考数学一轮复习讲义 第18讲 圆锥曲线新题赏析 理_第3页
3/4
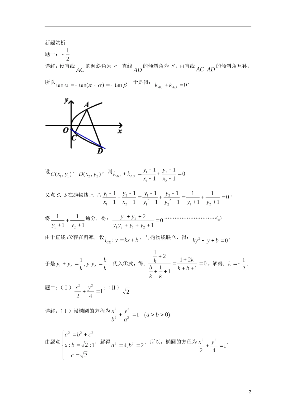
圆锥曲线 2014 新题赏析引入从一道题谈起:已知,,是椭圆上的三个点,是坐标原点.(Ⅰ)当点是的右顶点,且四边形为菱形时,求此菱形的面积;(Ⅱ)当点不是的顶点时,判断四边形是否可能为菱形,并说明理由.新题赏析题一:已知及 A(1, 1)是抛物线上的点,直线的倾斜角互补,求直线的斜率.题二:已知椭圆的中心在原点,一个焦点,且长轴长与短轴长的比是.(Ⅰ)求椭圆的方程;(Ⅱ)若椭圆在第一象限的一点的横坐标为 ,过点作倾斜角互补的两条不同的直线,分别交椭圆于另外两点,,求面积的最大值.题三:如图,椭圆短轴的左右两个端点分别为,直线与轴、轴分别交于两点,与椭圆交于两点.设直线的斜率分别为,若,求的值.引入题一:(Ⅰ);(Ⅱ)不可能ADCBxOylEF1新题赏析题一:详解:设直线的倾斜角为 α,直线的倾斜角为 β,由直线的倾斜角互补,所以,于是得:.设、,则.又点 C、D 在抛物线上 ∴,将通分,得:…………………………①由于直线 CD 存在斜率,设,与抛物线联立,得:,于是.代入①式,得:,解得:.题二:(Ⅰ);(Ⅱ)详解:(Ⅰ)设椭圆的方程为由题意,解得.所以,椭圆的方程为.2(Ⅱ)由椭圆的方程,得:.由题意知,两直线 PA、PB 的斜率必存在,设 PB 的斜率为 k,则 PB 的直线方程为.由得:.设 A(xA, yA),B(xB, yB),则,同理可得则,.所以直线 AB 的斜率为定值.设 AB 的直线方程为,由,得.由△,得.此时,,.由椭圆的方程可得点,根据点到直线的距离公式可得 P 到 AB 的距离为,由两点间距离公式可得,故.因为 m2=4 使判别式等于零,所以当且仅当 m=±2 时取等号,所以△PAB 面积的最大值为.题三:334

1、当您付费下载文档后,您只拥有了使用权限,并不意味着购买了版权,文档只能用于自身使用,不得用于其他商业用途(如 [转卖]进行直接盈利或[编辑后售卖]进行间接盈利)。
2、本站所有内容均由合作方或网友上传,本站不对文档的完整性、权威性及其观点立场正确性做任何保证或承诺!文档内容仅供研究参考,付费前请自行鉴别。
3、如文档内容存在违规,或者侵犯商业秘密、侵犯著作权等,请点击“违规举报”。

碎片内容

(新课标)北京市2015届高考数学一轮复习讲义 第18讲 圆锥曲线新题赏析 理

您可能关注的文档

文章天下+ 关注
实名认证
内容提供者

各种文档应有尽有

确认删除?
VIP
微信客服
  • 扫码咨询
会员Q群
  • 会员专属群点击这里加入QQ群
客服邮箱
回到顶部