电脑桌面
添加小米粒文库到电脑桌面
安装后可以在桌面快捷访问

高一数学上 第二章 函数:2.6.2指数函数性质优秀教案VIP免费

高一数学上 第二章 函数:2.6.2指数函数性质优秀教案_第1页
1/3
高一数学上 第二章 函数:2.6.2指数函数性质优秀教案_第2页
2/3
高一数学上 第二章 函数:2.6.2指数函数性质优秀教案_第3页
3/3
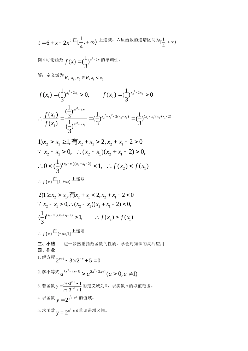
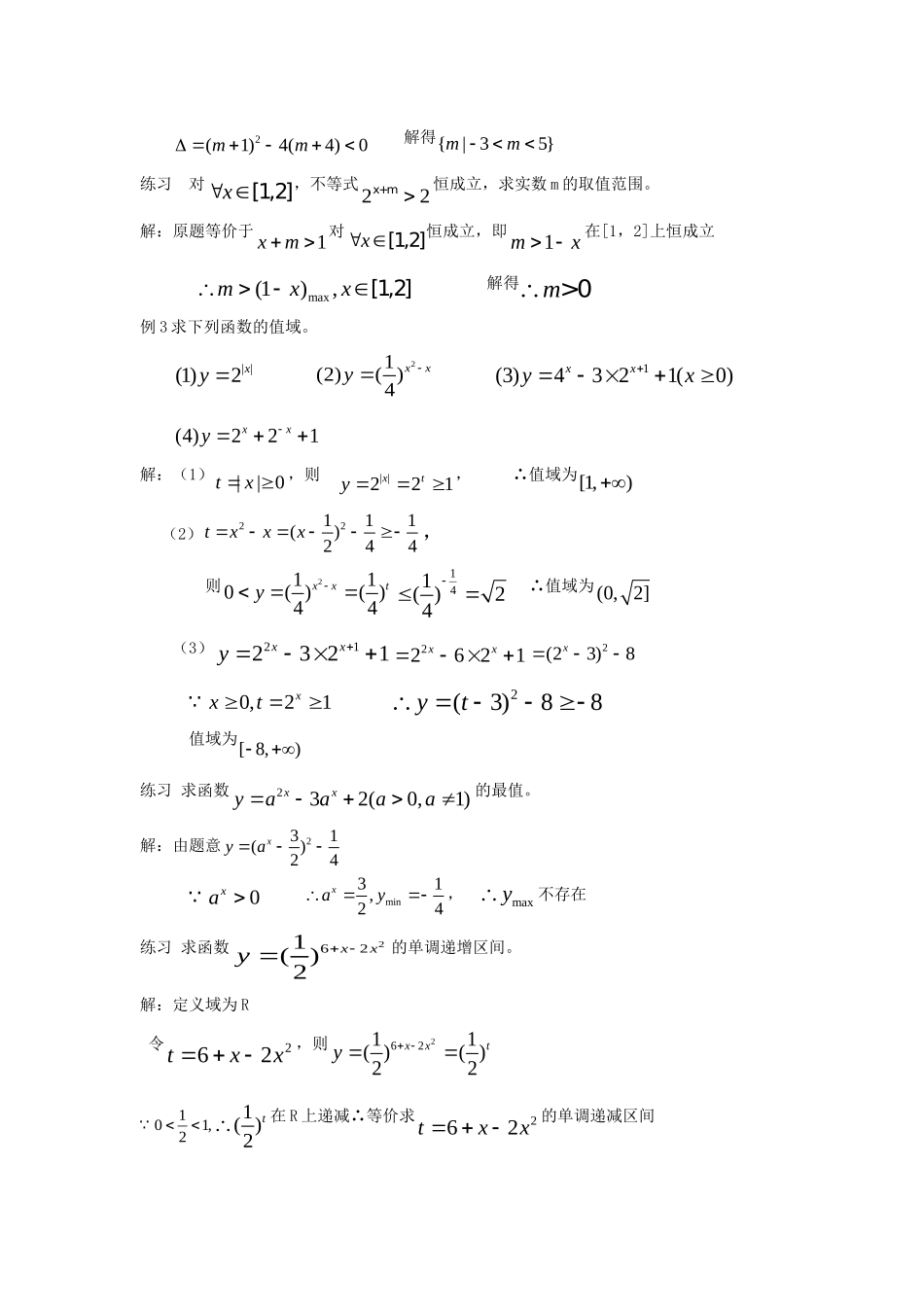
指数函数的性质教学目的利用指数函数的性质:定义域、值域、单调性教学过程:一、复习函数)10(aaayx且叫做指数函数,其中x是自变量。定义域:R值域:(0,+∞)恒过点(0,1)在R上增函数比较数的大小:单调法幂函数性质中间值法二、例题讲解例1解下列不等式22125(1)0.30.3xxxx(2)94330xx解:(1)00.31,0.3x是减函数原不等式等价于22125xxxx即23410xx(31)(1)0xx解得1{|1}3xx2(2)34330xx即(33)(31)0xx33x或031x解得{|1<0}xx或x练习解下列方程(1)1(1)()927xx(2)92640xxx解:(1)原不等式等价于32(1)33xx32(1)xx解得2x(2)变形得22322320xxxx即2(32)0xx320xx0x例2对Rx,不等式222411()22xmxmxx恒成立,求实数m的取值范围解:由题意222411()()22xxxmxm恒成立2224xxxmxm,即2(1)40xmxm恒成立0x(0,1)y(1)xyaa2(1)4(4)0mm解得{|35}mm练习对x[1,2],不等式22x+m恒成立,求实数m的取值范围。解:原题等价于1xm对x[1,2]恒成立,即1mx在[1,2]上恒成立max(1),mxx[1,2]解得m>0例3求下列函数的值域。||(1)2xy21(2)()4xxy1(3)4321(0)xxyx(4)221xxy解:(1)||0tx,则||221xty,∴值域为[1,)(2)22111()244txxx,则2110()()44xxty141()24∴值域为(0,2](3)212321xxy22621xx2(23)8x0,21xxt2(3)88yt值域为[8,)练习求函数232(0,1)xxyaaaa的最值。解:由题意231()24xya0xamin31,24xay,maxy不存在练习求函数2621()2xxy的单调递增区间。解:定义域为R令262txx,则26211()()22xxty101,21()2t在R上递减∴等价求262txx的单调递减区间262txx在1[4,)上递减。∴原函数的递增区间为1[4,)例4讨论函数221()()3xxfx的单调性。解:定义域为,R1212,,xxRxx2211222222221212121211221222()()(2)22111()()0,()()0331()()113()()1()33()3xxxxxxxxxxxxxxxxfxfxfxfx2121212121212121()(2)211)1,2,200,()(2)0,10()1,()()3xxxxxxxxxxxxxxxxfxfx有()fx在[1,)上递减2121212121212121()(2)212)1,2,200,()(2)0,1()1,()()3xxxxxxxxxxxxxxxxfxfx有()fx在(,1]上递增三、小结进一步熟悉指数函数的性质,学会对知识的灵活应用四、作业1.解方程123250xx2.解不等式22345231(0,1)xxxxaaaa3.若函数113131xxmym的定义域为R,求实数m的取值范围。4.求函数212xy的值域。5.求函数2x-x-6y=2单调递增区间。

1、当您付费下载文档后,您只拥有了使用权限,并不意味着购买了版权,文档只能用于自身使用,不得用于其他商业用途(如 [转卖]进行直接盈利或[编辑后售卖]进行间接盈利)。
2、本站所有内容均由合作方或网友上传,本站不对文档的完整性、权威性及其观点立场正确性做任何保证或承诺!文档内容仅供研究参考,付费前请自行鉴别。
3、如文档内容存在违规,或者侵犯商业秘密、侵犯著作权等,请点击“违规举报”。

碎片内容

高一数学上 第二章 函数:2.6.2指数函数性质优秀教案

您可能关注的文档

雨丝书吧+ 关注
实名认证
内容提供者

乐于和他人分享知识,从事历史教学,热爱教育,高度负责。

相关文档

确认删除?
VIP
微信客服
  • 扫码咨询
会员Q群
  • 会员专属群点击这里加入QQ群
客服邮箱
回到顶部