电脑桌面
添加小米粒文库到电脑桌面
安装后可以在桌面快捷访问

高一数学《第一章复习》VIP免费

高一数学《第一章复习》_第1页
1/3
高一数学《第一章复习》_第2页
2/3
高一数学《第一章复习》_第3页
3/3
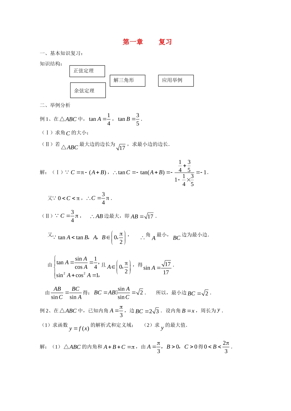
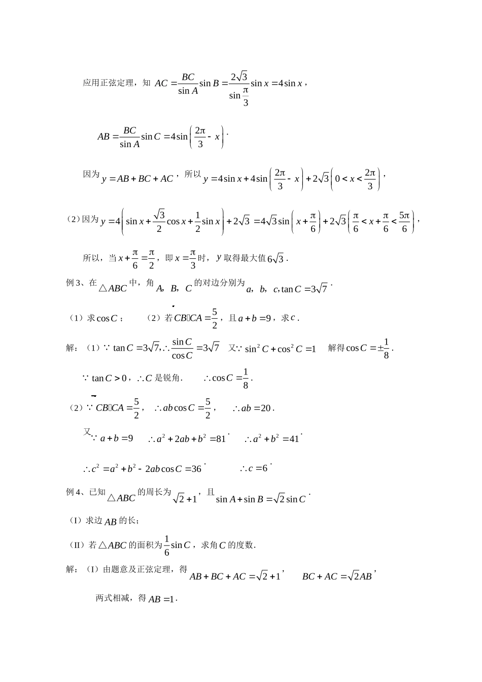
第一章复习一、基本知识复习:知识结构:二、举例分析例1、在ABC△中,1tan4A,3tan5B.(Ⅰ)求角C的大小;(Ⅱ)若ABC△最大边的边长为17,求最小边的边长.解:(Ⅰ)π()CAB,1345tantan()113145CAB.又0πC,3π4C.(Ⅱ)34C,AB边最大,即17AB.又tantan0ABAB,,,,角A最小,BC边为最小边.由22sin1tancos4sincos1AAAAA,,且π02A,,得17sin17A.由sinsinABBCCA得:sin2sinABCABC.所以,最小边2BC.例2、在ABC△中,已知内角A,边23BC.设内角Bx,周长为y.(1)求函数()yfx的解析式和定义域;(2)求y的最大值.解:(1)ABC△的内角和ABC,由00ABC,,得20B.正弦定理余弦定理解三角形应用举例应用正弦定理,知23sinsin4sinsinsinBCACBxxA,2sin4sinsinBCABCxA.因为yABBCAC,所以224sin4sin2303yxxx,(2)因为14sincossin232yxxx543sin23xx,所以,当x,即x时,y取得最大值63.例3、在ABC△中,角ABC,,的对边分别为tan37abcC,,,.(1)求cosC;(2)若52CBCA�,且9ab,求c.解:(1)sintan3737cosCCC,又22sincos1CC解得1cos8C.tan0C,C是锐角.1cos8C.(2)52CBCA�,5cos2abC,20ab.又9ab22281aabb.2241ab.2222cos36cababC.6c.例4、已知ABC△的周长为21,且sinsin2sinABC.(I)求边AB的长;(II)若ABC△的面积为1sin6C,求角C的度数.解:(I)由题意及正弦定理,得21ABBCAC,2BCACAB,两式相减,得1AB.(II)由ABC△的面积11sinsin26BCACCC,得13BCAC,由余弦定理,得222cos2ACBCABCACBC22()2122ACBCACBCABACBC,所以60C.三、作业:《习案》作业八

1、当您付费下载文档后,您只拥有了使用权限,并不意味着购买了版权,文档只能用于自身使用,不得用于其他商业用途(如 [转卖]进行直接盈利或[编辑后售卖]进行间接盈利)。
2、本站所有内容均由合作方或网友上传,本站不对文档的完整性、权威性及其观点立场正确性做任何保证或承诺!文档内容仅供研究参考,付费前请自行鉴别。
3、如文档内容存在违规,或者侵犯商业秘密、侵犯著作权等,请点击“违规举报”。

碎片内容

高一数学《第一章复习》

您可能关注的文档

确认删除?
VIP
微信客服
  • 扫码咨询
会员Q群
  • 会员专属群点击这里加入QQ群
客服邮箱
回到顶部