电脑桌面
添加小米粒文库到电脑桌面
安装后可以在桌面快捷访问

高考数学二轮复习 疯狂专练6 等差数列与等比数列(文)-人教版高三全册数学试题VIP免费

高考数学二轮复习 疯狂专练6 等差数列与等比数列(文)-人教版高三全册数学试题_第1页
1/6
高考数学二轮复习 疯狂专练6 等差数列与等比数列(文)-人教版高三全册数学试题_第2页
2/6
高考数学二轮复习 疯狂专练6 等差数列与等比数列(文)-人教版高三全册数学试题_第3页
3/6
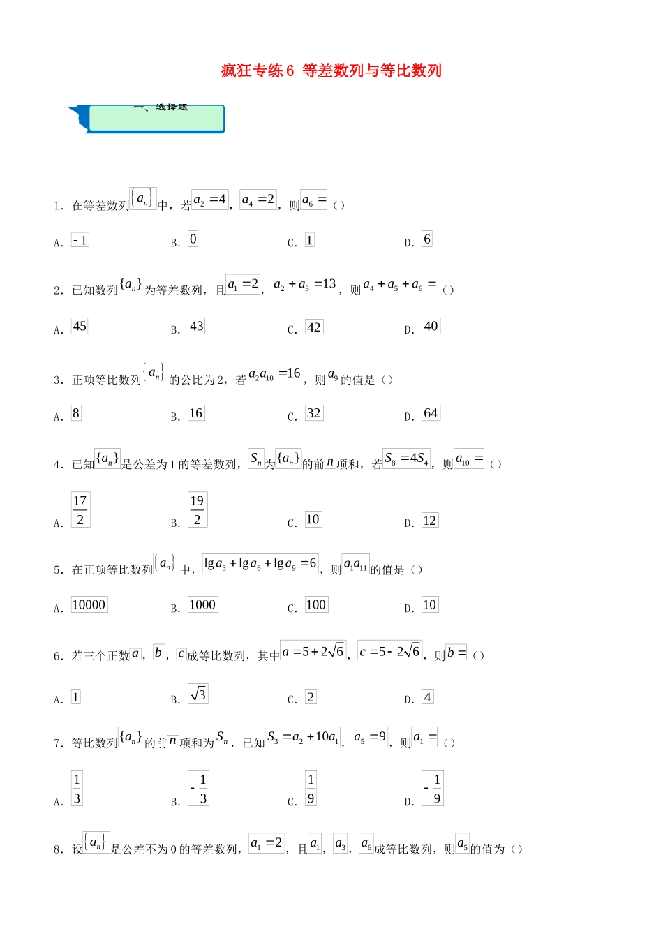
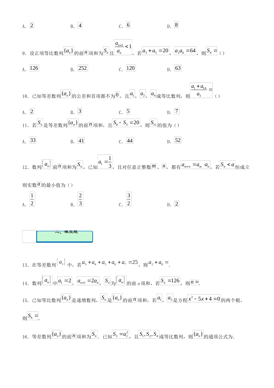
一、选择题疯狂专练6等差数列与等比数列1.在等差数列中,若,,则()A.B.C.D.2.已知数列为等差数列,且,,则()A.B.C.D.3.正项等比数列的公比为2,若,则的值是()A.B.C.D.4.已知是公差为1的等差数列,为的前项和,若,则()A.B.C.D.5.在正项等比数列中,,则的值是()A.B.C.D.6.若三个正数,,成等比数列,其中,,则()A.B.C.D.7.等比数列的前项和为,已知,,则()A.B.C.D.8.设是公差不为0的等差数列,,且,,成等比数列,则的值为()na24a42a6a1016}{na12a1332aa654aaa45434240na21016aa9a8163264{}nanS{}nan844SS10a1721921012na369lglglg6aaa111aa10000100010010abc526a526cb1324{}nannS32110Saa59a1a13131919na12a1a3a6a5a二、填空题A.B.C.D.9.设正项等比数列的前项和为且,若,,则()A.B.C.D.10.已知等差数列的公差和首项都不为,且,,成等比数列,则()A.B.C.D.11.若是等差数列的前项和,且,则的值为()A.B.C.D.12.数列前项和为,已知,且对任意正整数、,都有,若恒成立则实数的最小值为()A.B.C.D.13.在等差数列中,若,则.14.数列中,,为的前n项和,若,则.15.已知等比数列是递增数列,是的前项和,若,是方程的两个根,则.16.等差数列的前项和为.已知,且成等比数列,则的通项公式为.2468}{nannS11nnaa3520aa2664aa4S12625212063{}na01a2a4a1143aaa2357nS}{nan8320SS11S33414452nannS113amnmnmnaaanSaa1223322na12a12nnaanSna126nSn{}nanS{}nan1a3a2540xx6S{}nannS232Sa124,,SSS{}na答案与解析一、选择题1.【答案】B【解析】由已知4222aad,解得1d,所以6420aad.2.【答案】C【解析】∵2313aa,∴11213adad,∵12a,∴3d,45613123212342aaaad.3.【答案】C【解析】因为na是正项等比数列,且21016aa,所以62104aaa,则33964232aaq.4.【答案】B【解析】由已知得,1d,844SS,∴11118874(443)22aa,解得112a,∴1011199922aad.5.【答案】A【解析】因为na为等比数列且各项都为正数,则有336966lglglglg3lg6aaaaa,所以2610a,则有2111610000aaa.6.【答案】A【解析】因为三个正数a,b,c成等比数列,所以25265261bac,因为0b,所以1b.7.【答案】C【解析】由32110Saa,得1232110aaaaa,即23119aaqa,解得29q,又4519aaq,所以119a.8.【答案】B【解析】∵136,,aaa成等比数列,∴2316aaa,∴2111(2)(5)adaad,化简得14ad,故12d,从而512442a.9.【答案】C【解析】设正项等比数列{}na的公比为q,且101nnaqa,∵3520aa,263564aaaa,解得316a,54a,∴214q.又01q,所以12q,又23116aaq,解得164a,∴44164[1()]2120112S.10.【答案】C【解析】由1a,2a,4a成等比数列得1224aaa,∴2111()(3)adaad,∴21dad,∵0d,∴1da,1141113111315523aaaadaaada.11.【答案】C【解析】由83456786520SSaaaaaa,解得64a,又611111611211()114422aaaSa.12.【答案】A二、填空题【解析】已知对任意正整数m,n,都有mnmnaaa,取1m,则有111113nnnnaaaaaa,故数列na是以13为首项,以13为公比的等比数列,则11(1)11133(1)123213nnnS,由于nSa对任意n*N恒成立,故12a,即实数a的最小值为12.13.【答案】10【解析】因为是等差数列,所以,,即,所以.14.【答案】6【解析】∵12a,12nnaa,∴数列na是首项为2,公比为2的等比数列,∴2(12)12612nnS,即264n,解得6n.15.【答案】63【解析】由方程2540xx,又{}na是递增数列,可得11a,34a,所以22a,2q,616(1)1263112naqSq.16.【答案】3na或21nan【解析】设{}na的公差为d,由232Sa,得2223aa,故20a或23a.由1S,2S,4S成等比数列得2214=SSS.又12Sad,222Sad,4242Sad,故2222(2)()(42)adadad.若20a,则222dd,所以0d,此时0nS,不合题意;若23a,则2(6)(3)(122)ddd,解得0d或2d.因此{}na的通项公式为3na或21nan.

1、当您付费下载文档后,您只拥有了使用权限,并不意味着购买了版权,文档只能用于自身使用,不得用于其他商业用途(如 [转卖]进行直接盈利或[编辑后售卖]进行间接盈利)。
2、本站所有内容均由合作方或网友上传,本站不对文档的完整性、权威性及其观点立场正确性做任何保证或承诺!文档内容仅供研究参考,付费前请自行鉴别。
3、如文档内容存在违规,或者侵犯商业秘密、侵犯著作权等,请点击“违规举报”。

碎片内容

高考数学二轮复习 疯狂专练6 等差数列与等比数列(文)-人教版高三全册数学试题

您可能关注的文档

慧源书店+ 关注
实名认证
内容提供者

从事历史教学,热爱教育,高度负责。

相关文档

确认删除?
VIP
微信客服
  • 扫码咨询
会员Q群
  • 会员专属群点击这里加入QQ群
客服邮箱
回到顶部