电脑桌面
添加小米粒文库到电脑桌面
安装后可以在桌面快捷访问

必修1数学第二章章末复习VIP免费

必修1数学第二章章末复习_第1页
1/3
必修1数学第二章章末复习_第2页
2/3
必修1数学第二章章末复习_第3页
3/3
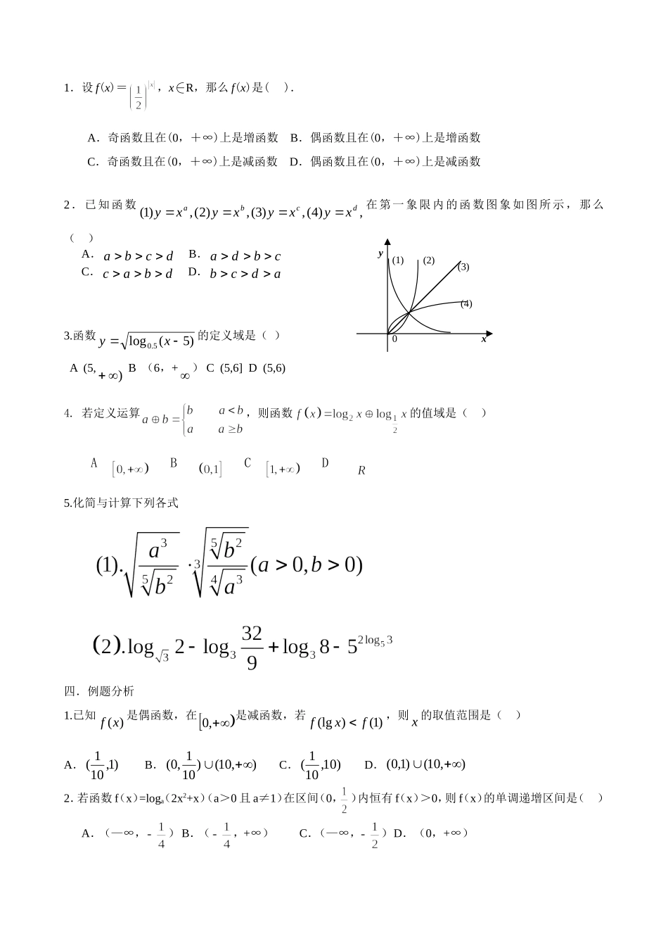
第二章基本初等函数复习教案授课人:周志进时间:2011-11-3教学目标1.知识与技能(1)理解指数与对数,指数函数与对数函数的联系.(2)能更加熟练地解决与指数函数,对数函数,幂函数有关的问题.2.过程与方法通过提问,分析点评,让学生更能熟悉指数函数,对数函数,幂函数的性质.3.情感、态度、价值观(1)提高学生的认知水平,为学生塑造良好的数学认识结构.(2)培养学生数形结合的思想观念及抽象思维能力.重点、难点重点:指数函数与对数函数的性质。难点:灵活运用函数性质解决有关问题。教学过程一.导入指数函数、对数函数、幂函数是三类常见的重要函数,在历年的高考题中都占据着重要的地位。从近几年的高考形势来看,对指数函数、对数函数、幂函数的考查,大多以基本函数的性质为依托,结合运算推理,能运用它们的性质解决具体问题。为此,我们要熟练掌握指数、对数运算法则,明确算理,能对常见的指数型函数、对数型函数进行变形处理二.归纳本章的知识结构三.学生自主练习1.设f(x)=,x∈R,那么f(x)是().A.奇函数且在(0,+∞)上是增函数B.偶函数且在(0,+∞)上是增函数C.奇函数且在(0,+∞)上是减函数D.偶函数且在(0,+∞)上是减函数2.已知函数,)4(,)3(,)2(,)1(dcbaxyxyxyxy在第一象限内的函数图象如图所示,那么()A.dcbaB.cbdaC.dbacD.adcb3.函数)5(log5.0xy的定义域是()A(5,)B(6,+)C(5,6]D(5,6)4.若定义运算,则函数的值域是()ABCD5.化简与计算下列各式四.例题分析1.已知)(xf是偶函数,在,0是减函数,若)1()(lgfxf,则x的取值范围是()A.)1,101(B.),10()101,0(C.)10,101(D.),10()1,0(2.若函数f(x)=loga(2x2+x)(a>0且a≠1)在区间(0,)内恒有f(x)>0,则f(x)的单调递增区间是()A.(—∞,)B.(,+∞)C.(—∞,)D.(0,+∞)(1)(2)(3)xy0(4)3.设函数的定义域为R,当时,,且对任意,都有,且。(1)求的值;(2)证明:在R上为单调递增函数;(3)若有不等式成立,求的取值范围。巩固训练1..当时,在同一坐标系中,函数的图象是.ABCD3.三个数之间的大小关系是A.B.C.D.4.计算机成本不断降低,若每隔三年计算机价格降低,则现在价格为8100元的计算机9年后价格可降为A.2400元B.900元C.300元D.3600元5.函数的单调增区间为。6.定义运算则函数的最大值为.7.(本小题满分12分)已知函数.(1)证明f(x)为奇函数;(2)判断f(x)的单调性,并用定义加以证明;五.归纳总结1.知识结构方面2.数学解题技巧以及数学思想方法xy11oxyo11oyx11oyx11

1、当您付费下载文档后,您只拥有了使用权限,并不意味着购买了版权,文档只能用于自身使用,不得用于其他商业用途(如 [转卖]进行直接盈利或[编辑后售卖]进行间接盈利)。
2、本站所有内容均由合作方或网友上传,本站不对文档的完整性、权威性及其观点立场正确性做任何保证或承诺!文档内容仅供研究参考,付费前请自行鉴别。
3、如文档内容存在违规,或者侵犯商业秘密、侵犯著作权等,请点击“违规举报”。

碎片内容

必修1数学第二章章末复习

您可能关注的文档

精品文库+ 关注
实名认证
内容提供者

中小学课件教案小学资料大全

相关文档

确认删除?
VIP
微信客服
  • 扫码咨询
会员Q群
  • 会员专属群点击这里加入QQ群
客服邮箱
回到顶部